-
MS-NW-8779 2,3-dimethoxybenzaldehyde C9H10O3 (Mass of molecular ion: 166)
Source Temperature: 280 °C Sample Temperature: 150 °C Reservoir, 75 eV
15.0 2.8 26.0 1.5 27.0 1.4 28.0 2.8 29.0 2.8 37.0 1.4 38.0 3.1 39.0 7.6 41.0 8.4 43.0 1.8 50.0 8.8 51.0 18.9 52.0 14.7 53.0 7.3 54.0 1.1 55.0 4.7 61.0 1.1 62.0 3.4 63.0 9.0 64.0 4.3 65.0 18.6 66.0 2.2 67.0 8.3 69.0 1.4 74.0 2.0 75.0 2.4 76.0 26.0 77.0 31.3 78.0 8.6 79.0 10.0 80.0 10.1 81.0 1.6 90.0 10.3 91.0 6.8 92.0 6.9 93.0 12.1 94.0 2.9 95.0 16.3 96.0 1.1 104.0 7.8 105.0 13.6 106.0 7.5 107.0 14.0 108.0 18.4 109.0 9.1 118.0 2.2 119.0 8.1 120.0 18.6 121.0 10.6 122.0 11.0 123.0 14.1 124.0 2.5 133.0 8.9 134.0 1.2 135.0 6.0 136.0 12.6 137.0 13.3 138.0 2.6 147.0 2.4 148.0 27.8 149.0 13.0 150.0 3.9 151.0 27.0 152.0 2.5 165.0 13.4 166.0 100.0 167.0 10.9 168.0 1.8
90 MHz in CDCl3
-
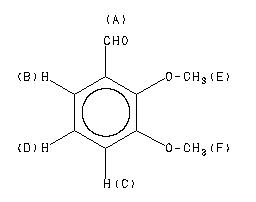
1H NMR 89.56 MHz C9 H10 O3 0.044 g : 0.5 ml CDCl3 2,3-dimethoxybenzaldehyde 
Assign. Shift(ppm)
A 10.43 B 7.40 C 7.15 D 7.10 E 3.988 F 3.907
Hz ppm Int.934.42 10.434 115 933.91 10.428 125 668.85 7.469 43 664.82 7.424 29 663.28 7.406 50 659.33 7.362 86 641.31 7.161 158 637.57 7.119 61 636.04 7.102 52 635.38 7.095 52 357.13 3.988 1000 355.66 3.972 32 355.22 3.967 30 349.88 3.907 656 348.05 3.887 35
更多供应商






