图谱信息 供应商 相关产品
网站主页CAS数据库列表 86608-70-0更多图谱2-(1,3-二氧戊环-2-基)乙基三苯基溴化膦(86608-70-0)质谱(MS)

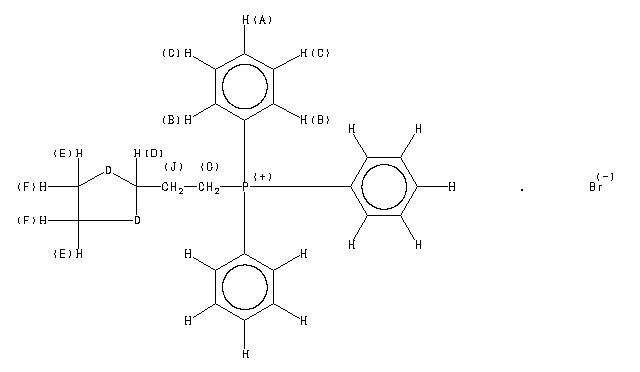
2-(1,3-二氧戊环-2-基)乙基三苯基溴化膦

产品名称 2-(1,3-二氧戊环-2-基)乙基三苯基溴化膦

CAS号86608-70-0

分子式C23H24BrO2P

分子量443.31

展开


  • Mass

    MS-IW-2174          
    (2-(1,3-dioxolan-2-yl)ethyl)triphenylphosphonium bromide
    C23H24BrO2P         (Mass of molecular ion:    442)
    

       Source Temperature: 200 °C
       Sample Temperature: 180 °C
       Direct, 75 eV
    

          26.0       2.2
          27.0       5.7
          28.0       2.4
          29.0       2.8
          31.0       7.3
          39.0       1.9
          43.0       1.9
          44.0       1.9
          45.0       5.6
          51.0       3.6
          55.0       3.2
          56.0       4.1
          57.0       1.7
          65.0       1.0
          73.0       3.4
          77.0       1.9
          80.0       2.0
          81.0       1.7
          82.0       1.8
          95.0       1.3
          99.0       1.4
         107.0      10.9
         108.0      28.0
         109.0       2.4
         115.0       2.4
         128.0       1.0
         131.0       2.4
         133.0       2.3
         139.0       1.1
         141.0       1.1
         152.0       5.9
         153.0       1.5
         154.0       1.6
         157.0       2.8
         170.0       2.1
         181.0       1.1
         183.0      56.4
         184.0      12.1
         185.0       9.7
         186.0       1.2
         261.0      16.0
         262.0     100.0
         263.0      19.5
         264.0       1.9
    

400 MHz in CDCl3


  • 1H NMR 399.65 MHz
    C23 H24 Br O2 P 0.040 g : 0.5 ml CDCl3
    (2-(1,3-dioxolan-2-yl)ethyl)triphenylphosphonium bromide
    ChemicalStructure
        Assign.     Shift(ppm)
    A 7.84 B 7.80 C 7.75 D 5.186 E *1 4.001 F *1 3.866 G 3.691 J 2.026

         Hz     ppm     Int.
    

       3145.02   7.870     74
       3143.55   7.866    153
       3141.36   7.861    168
       3139.77   7.857    137
       3138.67   7.854    132
       3136.47   7.849    387
       3135.38   7.846    267
       3134.28   7.843    458
       3131.96   7.837    239
       3130.49   7.834    228
       3129.03   7.830    567
       3127.69   7.827    719
       3125.85   7.822    308
       3122.80   7.814    219
       3120.73   7.809    824
       3119.02   7.805    538
       3116.82   7.799    202
       3115.23   7.795    326
       3113.65   7.791    187
       3110.72   7.784    176
       3108.40   7.778    901
       3106.57   7.774   1000
       3102.17   7.763    648
       3099.73   7.757    495
       3098.75   7.754    561
       3094.97   7.745    569
       3091.19   7.735    288
       3090.09   7.732    223
       3087.52   7.726    200
       3086.43   7.723    145
       3083.25   7.715     59
       3082.15   7.713     50
       2076.66   5.197    155
       2072.88   5.187    344
       2069.09   5.178    151
       1607.54   4.023    136
       1602.29   4.010    185
       1600.34   4.005    344
       1598.88   4.001    232
       1596.80   3.996    182
       1593.51   3.988    211
       1582.89   3.961     48
       1561.28   3.907     48
       1550.66   3.881    219
       1547.36   3.872    195
       1545.29   3.867    244
       1543.82   3.863    346
       1541.87   3.859    171
       1536.74   3.846    139
       1490.36   3.730     96
       1486.94   3.721     43
       1484.74   3.716     59
       1482.42   3.710     95
       1479.49   3.702     74
       1477.29   3.697    134
       1474.24   3.689    137
       1471.92   3.684     70
       1469.24   3.677     95
       1466.31   3.669     69
       1461.18   3.657    101
        824.22   2.063     62
        820.56   2.054     75
        819.09   2.050     52
        815.06   2.040    118
        811.40   2.031    120
        809.69   2.026     96
        807.86   2.022    117
        806.03   2.017     86
        804.20   2.013    116
        800.29   2.003     53
        798.71   1.999     76
        795.04   1.990     62
    

in CDCl3



KBr disc



nujol mull