图谱信息 供应商 相关产品
网站主页CAS数据库列表 868-54-2更多图谱2-氨基-1-丙烯基-1,1,3-三甲腈(868-54-2)核磁图(13CNMR)

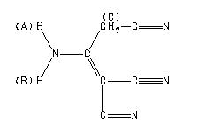
2-氨基-1-丙烯基-1,1,3-三甲腈

产品名称 2-氨基-1-丙烯基-1,1,3-三甲腈

CAS号868-54-2

分子式C6H4N4

分子量132.12

展开


  • Mass

    MS-NW-6181          
    2-amino-1-propene-1,1,3-tricarbonitrile
    C6H4N4              (Mass of molecular ion:    132)
    

       Source Temperature: 190 °C
       Sample Temperature: 130 °C
       Direct, 75 eV
    

          14.0       1.2
          15.0       1.8
          17.0       1.9
          18.0       8.0
          26.0       1.7
          27.0       3.0
          28.0      20.7
          37.0       1.8
          38.0      12.5
          39.0      10.3
          40.0      17.5
          41.0      71.0
          42.0      11.3
          43.0       5.2
          50.0       1.8
          51.0       4.8
          52.0       6.1
          53.0       3.8
          54.0       1.0
          62.0       3.3
          63.0       2.6
          64.0       9.8
          65.0      17.4
          66.0      52.8
          67.0      28.4
          68.0       1.2
          76.0       2.0
          77.0       6.8
          78.0       2.6
          79.0       3.4
          88.0       1.4
          89.0       1.6
          90.0       2.6
          91.0       6.7
          92.0     100.0
          93.0       6.0
         104.0       2.8
         105.0       1.4
         132.0      64.8
         133.0       5.6
    



  •     Assign.     Shift(ppm)
    A *1 9.03 B *1 8.97 C 3.832
    Spectral Code: 1H NMR : 400 MHz in DMSO-d6

in DMSO-d6



KBr disc



nujol mull