图谱信息 供应商 相关产品
网站主页CAS数据库列表 87-19-4更多图谱水杨酸异丁酯(87-19-4)质谱(MS)

水杨酸异丁酯

产品名称 水杨酸异丁酯

CAS号87-19-4

分子式C11H14O3

分子量194.23

展开


  • Mass

    MS-NW-0901          
    isobutyl salicylate
    C11H14O3            (Mass of molecular ion:    194)
    

       Source Temperature: 280 °C
       Sample Temperature: 150 °C
       Reservoir, 75 eV
    

          27.0       4.1
          28.0       1.5
          29.0      11.6
          38.0       1.7
          39.0      12.6
          40.0       1.0
          41.0      13.1
          42.0       1.2
          43.0       2.2
          53.0       1.9
          55.0       1.5
          56.0       2.5
          57.0      11.8
          63.0       3.3
          64.0       3.9
          65.0      11.8
          92.0      14.2
          93.0       6.8
         120.0     100.0
         121.0      33.8
         122.0       2.9
         138.0      29.8
         139.0       2.7
         194.0      11.6
         195.0       1.4
    

90 MHz in CDCl3


  • 1H NMR 89.56 MHz
    C11 H14 O3 0.04 ml : 0.5 ml CDCl3
    isobutyl salicylate
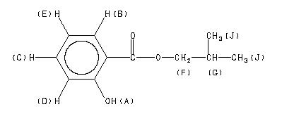
    ChemicalStructure
        Assign.     Shift(ppm)
    A 10.82 B 7.848 C 7.429 D 6.97 E 6.87 F 4.127 G 2.08 J 1.030 J(B,C)=1.8HZ. J(B,D)=0.5HZ. J(B,E)=7.8HZ. J(C,D)=8.4HZ. J(D,E)=1.2HZ. J(F,G)=6.5HZ. J(G,J)=6.6HZ.

         Hz     ppm     Int.
    

        969.25  10.823    403
        708.29   7.909     72
        707.78   7.903     76
        706.49   7.889     85
        706.07   7.884     86
        700.51   7.822     82
        700.00   7.816     90
        698.63   7.801     99
        698.12   7.796     96
        675.48   7.543     31
        675.05   7.538     32
        673.25   7.518     31
        668.38   7.463     42
        668.04   7.460     44
        666.59   7.443     76
        665.22   7.428     47
        664.88   7.424     46
        659.92   7.369     59
        659.58   7.365     62
        658.13   7.349     55
        657.79   7.345     54
        629.08   7.025     74
        628.56   7.019     96
        627.80   7.010    135
        627.28   7.005    120
        622.75   6.954    111
        621.56   6.941     71
        620.62   6.930     73
        620.10   6.924     78
        619.34   6.916     84
        618.91   6.911     77
        615.75   6.876     83
        614.98   6.867     99
        614.47   6.861     79
        613.70   6.853     76
        607.80   6.787     63
        606.60   6.774     56
        372.99   4.165    523
        366.41   4.092    548
        194.40   2.171     41
        187.65   2.096     50
        180.98   2.021     49
        174.40   1.948     31
         95.19   1.063   1000
         91.00   1.017     31
         89.98   1.005     34
         88.53   0.989    765
    

in CDCl3



CCl4 solution



liquid film



4880 A,200 M,liquid