-
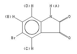
MS-NW-8231 5-bromo-2,3-indolinedione C8H4BrNO2 (Mass of molecular ion: 225)
Source Temperature: 190 °C Sample Temperature: 150 °C Direct, 75 eV
18.0 1.6 28.0 3.4 36.0 1.2 37.0 8.9 38.0 9.1 39.0 6.3 40.0 1.9 44.0 1.9 44.5 10.3 45.0 5.6 45.5 1.8 49.0 2.7 50.0 6.2 51.0 2.9 52.0 7.5 53.0 2.1 59.0 5.7 59.5 1.0 60.0 1.7 61.0 10.8 62.0 19.6 63.0 47.4 64.0 11.3 65.0 2.3 73.0 2.8 74.0 9.5 75.0 11.3 76.0 2.2 77.0 1.5 84.5 7.0 85.0 1.4 85.5 6.8 86.0 1.6 87.0 2.0 88.0 4.7 89.0 4.9 90.0 32.4 91.0 5.4 92.0 10.0 93.0 1.0 98.5 4.1 99.5 4.0 117.0 2.0 118.0 1.6 119.0 15.9 120.0 1.4 141.0 1.3 142.0 6.0 143.0 1.7 144.0 5.9 147.0 10.3 148.0 1.1 154.0 2.5 156.0 2.4 168.0 4.4 169.0 24.1 170.0 22.5 171.0 24.6 172.0 17.9 173.0 1.3 197.0 100.0 198.0 8.3 199.0 98.0 200.0 8.0 225.0 45.5 226.0 4.9 227.0 44.5 228.0 4.3 277.0 1.7
400 MHz in DMSO-d6
-
1H NMR 399.65 MHz C8 H4 Br N O2 0.039 g : 0.5 ml DMSO-d6 5-bromo-2,3-indolinedione 
Assign. Shift(ppm)
A 11.1 B 7.731 C 7.639 D 6.875
Hz ppm Int.4457.72 11.155 624 3094.96 7.745 516 3092.95 7.740 542 3086.72 7.724 547 3084.71 7.719 568 3054.12 7.642 1000 3052.29 7.638 888 2751.89 6.886 850 2743.65 6.866 812
更多供应商




