图谱信息 供应商 相关产品
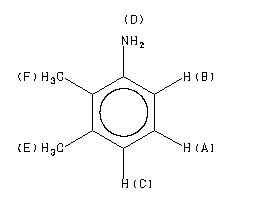
网站主页CAS数据库列表 87-59-2更多图谱2,3-二甲基苯胺(87-59-2)核磁图(1HNMR)

2,3-二甲基苯胺

产品名称 2,3-二甲基苯胺

CAS号87-59-2

分子式C8H11N

分子量121.18

展开



  •     Assign.     Shift(ppm)
    A 6.888 B 6.60 C 6.54 D 3.47 E 2.250 F 2.049
    Spectral Code: 1H NMR : 90 MHz in CDCl3




  • Spectral Code: IR : liquid film