图谱信息 供应商 相关产品
网站主页CAS数据库列表 87-62-7更多图谱2,6-二甲基苯胺(87-62-7)ESR图谱

2,6-二甲基苯胺

产品名称 2,6-二甲基苯胺

CAS号87-62-7

分子式C8H11N

分子量121.18

展开


  • Mass

    MS-NW-0578          
    2,6-xylidine
    C8H11N              (Mass of molecular ion:    121)
    

       Source Temperature: 280 °C
       Sample Temperature: 170 °C
       Reservoir, 75 eV
    

          18.0       1.0
          27.0       3.1
          28.0       3.3
          30.0       2.0
          38.0       1.2
          39.0       6.3
          41.0       2.4
          42.0       3.4
          50.0       1.6
          51.0       4.2
          52.0       3.3
          53.0       4.5
          54.0       2.0
          58.5       1.7
          59.5       2.1
          60.5       1.9
          63.0       2.1
          65.0       4.2
          66.0       1.4
          77.0      11.9
          78.0       6.9
          79.0       4.9
          80.0       2.1
          91.0       8.3
          92.0       2.4
          93.0       3.6
          94.0       1.5
         102.0       1.1
         103.0       6.7
         104.0       4.6
         105.0       2.3
         106.0      56.5
         107.0       4.7
         118.0       2.4
         119.0       1.8
         120.0      53.1
         121.0     100.0
         122.0       9.1
    

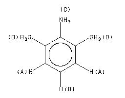
90 MHz in CDCl3


  • 1H NMR 89.56 MHz
    C8 H11 N 0.04 ml : 0.5 ml CDCl3
    2,6-xylidine
    ChemicalStructure
        Assign.     Shift(ppm)
    A 6.93 B 6.62 C 3.46 D 2.155

         Hz     ppm     Int.
    

        624.63   6.975     73
        624.00   6.968     75
        623.38   6.961     62
        616.94   6.889    161
        616.38   6.883    145
        599.56   6.695     82
        593.19   6.624     48
        591.19   6.602     42
        584.88   6.531     28
        309.56   3.457     95
        193.00   2.155   1000
    

in CDCl3



liquid film





OXIDATION WITH PBA IN ETHANOL

OXIDATION WITH PERBENZOIC ACID IN DIOXANE