-
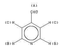
MS-NW-4713 isonicotinaldehyde C6H5NO (Mass of molecular ion: 107)
Source Temperature: 260 °C Sample Temperature: 180 °C Reservoir, 75 eV
26.0 4.7 27.0 2.0 28.0 3.7 29.0 5.2 37.0 2.4 38.0 2.7 39.0 4.2 49.0 3.6 50.0 20.8 51.0 49.6 52.0 33.5 53.0 4.4 63.0 1.0 75.0 1.5 76.0 1.5 77.0 1.0 78.0 48.1 79.0 7.4 93.0 1.3 106.0 33.9 107.0 100.0 108.0 7.0
parameter in DMSO-d6
90 MHz in CDCl3
-
1H NMR 300 MHz C6 H5 N O 30 % in DMSO isonicotinaldehyde 
Parameter ppm Hz
D(A) 9.06 D(B) 7.96 J(A,A') 0.4 J(A,B) 5.2 J(A,B') 1.0 J(A',B) 1.0 J(A',B') 5.2 J(B,B') 1.6 D(C) 10.33 BRUEGEL,W. Z.ELEKTROCHEM.(BER.BUNSENGES.PHYS.CHEM.) 66, 159 (1962)
Hz ppm Int.3098.99 10.330 1000 2721.11 9.070 648 2719.50 9.065 395 2716.55 9.055 396 2714.96 9.050 675 2391.07 7.970 677 2389.48 7.965 396 2386.51 7.955 391 2384.91 7.950 648
-
1H NMR 89.56 MHz C6 H5 N O 0.04 ml : 0.5 ml CDCl3 isonicotinaldehyde 
Assign. Shift(ppm)
A 10.11 B 8.899 C 7.724
Hz ppm Int.905.20 10.108 1000 800.17 8.935 588 798.56 8.917 347 795.85 8.887 369 794.24 8.869 659 694.70 7.757 996 693.02 7.739 570 690.38 7.709 504 688.77 7.691 938
更多供应商







