parameter in CDCl3
-
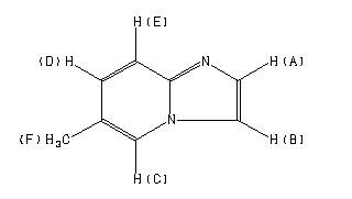
1H NMR 300 MHz C8 H8 N2 50 vol% in CDCl3 6-methylimidazo(1,2-a)pyridine 
Parameter ppm Hz
D(A) 7.72 D(B) 7.58 D(C) 7.82 D(D) 6.77 D(E) 7.40 D(F) 1.98 J(A,B) 1.2 J(A,C) 0.0 J(A,D) 0.0 J(A,E) 0.0 J(A,F) 0.0 J(B,C) 0.5 J(B,D) 0.0 J(B,E) 0.0 J(B,F) 0.0 J(C,D) 1.6 J(C,E) 0.0 J(C,F) 1.1 J(D,E) 9.2 J(D,F) 0.0 J(E,F) 0.0 PAUDLER,W.W. & BLEWITT,H.L. TETRAHEDRON 21, 353 (1965)
Hz ppm Int.2347.11 7.824 143 2346.08 7.820 187 2344.94 7.816 142 2316.61 7.722 323 2315.47 7.718 339 2274.37 7.581 253 2273.62 7.579 251 2224.73 7.416 288 2215.59 7.385 317 2036.27 6.788 168 2034.76 6.783 167 2027.08 6.757 153 2025.56 6.752 152 594.57 1.982 1000 593.49 1.978 999
更多供应商

