parameter in CDCl3
-
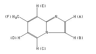
1H NMR 300 MHz C8 H8 N2 50 vol% in CDCl3 7-methylimidazo(1,2-a)pyridine 
Parameter ppm Hz
D(A) 7.62 D(B) 7.52 D(C) 7.97 D(D) 6.43 D(E) 7.35 D(F) 2.20 J(A,B) 1.2 J(A,C) 0.0 J(A,D) 0.0 J(A,E) 0.0 J(A,F) 0.0 J(B,C) 0.5 J(B,D) 0.0 J(B,E) 0.0 J(B,F) 0.0 J(C,D) 7.2 J(C,E) 0.0 J(C,F) 0.0 J(D,E) 1.4 J(D,F) 0.0 J(E,F) 0.8 PAUDLER,W.W. & BLEWITT,H.L. TETRAHEDRON 21, 353 (1965)
Hz ppm Int.2394.55 7.982 198 2387.34 7.958 204 2286.63 7.622 295 2285.44 7.618 315 2256.41 7.521 244 2255.65 7.519 226 2206.02 7.353 157 2205.38 7.351 199 2204.68 7.349 200 2204.03 7.347 158 1933.29 6.444 154 1931.95 6.440 153 1926.09 6.420 149 1924.74 6.416 148 660.40 2.201 1000 659.65 2.199 999
更多供应商

