图谱信息 供应商 相关产品
网站主页CAS数据库列表 87630-35-1更多图谱1-(三异丙基甲硅烷基)吡咯(87630-35-1)核磁图(1HNMR)

1-(三异丙基甲硅烷基)吡咯

产品名称 1-(三异丙基甲硅烷基)吡咯

CAS号87630-35-1

分子式C13H25NSi

分子量223.43

展开


  • Mass

    MS-IW-9281          
    1-(triisopropylsilyl)pyrrole
    C13H25NSi           (Mass of molecular ion:    223)
    

       Source Temperature: 220 °C
       Sample Temperature: 150 °C
       Reservoir, 75 eV
    

          27.0       1.9
          39.0       2.0
          41.0       3.7
          42.0       1.3
          43.0       9.6
          44.0       2.3
          45.0       8.0
          53.0       1.7
          54.0       1.1
          55.0       3.5
          57.0       1.1
          58.0       1.5
          59.0      28.1
          60.0       2.3
          61.0       1.0
          62.0       3.2
          66.0       1.1
          67.0       9.9
          68.0       4.3
          69.0       7.6
          70.0       2.2
          71.0       8.9
          72.0       1.7
          73.0       6.3
          81.0       1.4
          82.0       1.8
          83.0      13.8
          84.0       3.0
          85.0      13.9
          86.0       1.8
          87.0       3.3
          94.0      17.6
          95.0       5.7
          96.0       8.5
          97.0       8.5
          98.0       1.9
          99.0       1.1
         109.0       1.9
         110.0      33.2
         111.0       7.8
         112.0       2.0
         113.0       4.5
         114.0       1.1
         122.0       1.5
         123.0       1.1
         124.0      26.5
         125.0       5.1
         126.0       1.3
         136.0       2.7
         137.0       1.1
         138.0      25.0
         139.0      22.1
         140.0       3.7
         152.0      43.9
         153.0       7.6
         154.0       2.1
         164.0       1.0
         180.0     100.0
         181.0      35.6
         182.0       7.6
         183.0       1.3
         222.0       1.6
         223.0      42.5
         224.0       8.6
         225.0       2.2
    

400 MHz in CDCl3


  • 1H NMR 399.65 MHz
    C13 H25 N Si 0.05 ml : 0.5 ml CDCl3
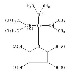
    1-(triisopropylsilyl)pyrrole
    ChemicalStructure
        Assign.     Shift(ppm)
    A 6.794 B 6.312 C 1.447 D 1.097

         Hz     ppm     Int.
    

       2717.41   6.800    137
       2715.45   6.795    184
       2713.50   6.790    133
       2524.66   6.318    159
       2522.71   6.313    205
       2520.75   6.308    146
        594.60   1.488     46
        587.04   1.469    107
        579.47   1.450    149
        571.90   1.432    125
        564.45   1.413     75
        448.85   1.124     60
        442.26   1.107   1000
        434.57   1.088    921
        428.34   1.072     68
    

in CDCl3



liquid film