图谱信息 供应商 相关产品
网站主页CAS数据库列表 879-72-1更多图谱3-二甲胺基丙苯酮(879-72-1)红外图谱(IR2)

3-二甲胺基丙苯酮

产品名称 3-二甲胺基丙苯酮

CAS号879-72-1

分子式C11H16ClNO

分子量213.7

展开


  • Mass

    MS-IW-8117          
    3-(dimethylamino)propiophenone hydrochloride
    C11H15NO HCl        (Mass of molecular ion:    177)
    

       Source Temperature: 160 °C
       Sample Temperature: 130 °C
       Direct, 75 eV
    

          15.0       1.1
          18.0       4.8
          27.0       3.3
          28.0       3.3
          30.0       3.0
          35.0       1.3
          36.0      19.8
          38.0       6.6
          39.0       1.0
          42.0       6.9
          43.0       3.4
          44.0      18.4
          45.0      11.6
          50.0       3.5
          51.0      11.4
          55.0       5.8
          56.0       1.3
          57.0       8.2
          58.0     100.0
          59.0       4.7
          70.0       1.1
          72.0       6.2
          74.0       1.4
          76.0       1.5
          77.0      41.6
          78.0       3.7
          91.0       1.0
         103.0       1.4
         104.0       2.7
         105.0      67.7
         106.0       5.4
         131.0      10.5
         132.0      32.6
         133.0       4.9
         176.0       1.0
         177.0       8.5
         178.0       1.3
    

400 MHz in DMSO-d6


  • 1H NMR 399.65 MHz
    C11 H15 N O 0.050 g : 0.5 ml DMSO-d6
    3-(dimethylamino)propiophenone hydrochloride
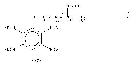
    ChemicalStructure
        Assign.     Shift(ppm)
    A 11.1 B 8.033 C 7.693 D 7.579 E 3.685 F 3.422 G 2.818

         Hz     ppm     Int.
    

       3215.64   8.047    113
       3214.57   8.044    133
       3209.38   8.031     43
       3207.40   8.026    152
       3206.02   8.023    124
       3083.50   7.716     33
       3076.02   7.697     80
       3069.92   7.682     38
       3068.70   7.679     60
       3067.47   7.676     31
       3036.19   7.598    105
       3034.67   7.594     43
       3028.26   7.578    148
       3022.46   7.563     31
       3020.94   7.559     73
       1480.87   3.706     68
       1473.85   3.688    122
       1465.91   3.668     96
       1374.36   3.439    116
       1366.42   3.420    124
       1359.41   3.402     68
       1126.71   2.820   1000
    

in DMSO-d6

in D2O





KBr disc



nujol mull