图谱信息 供应商 相关产品
网站主页CAS数据库列表 88-27-7更多图谱抗氧剂703(88-27-7)红外图谱(IR2)

抗氧剂703

产品名称 抗氧剂703

CAS号88-27-7

分子式C17H29NO

分子量263.42

展开


  • Mass

    MS-IW-7207          
    2,6-di-tert-butyl-4-(dimethylaminomethyl)phenol
    C17H29NO            (Mass of molecular ion:    263)
    

       Source Temperature: 130 °C
       Sample Temperature: 110 °C
       Direct, 75 eV
    

          18.0       1.7
          27.0       1.1
          28.0       2.2
          29.0       2.6
          39.0       1.9
          41.0       6.5
          42.0       2.9
          43.0       3.4
          44.0      15.5
          45.0      10.9
          46.0       2.5
          51.0       1.4
          53.0       1.7
          55.0       2.9
          57.0       5.0
          58.0       9.4
          64.0       1.2
          65.0       2.4
          67.0       1.5
          69.0       1.6
          77.0       3.1
          78.0       1.0
          79.0       2.7
          80.0       4.0
          81.0       1.0
          91.0       5.4
          93.0       1.5
          94.0       1.1
         101.5       2.5
         103.0       1.0
         105.0       3.9
         107.0       1.5
         109.5       1.7
         115.0       2.8
         116.0       1.2
         117.0       2.1
         119.0       3.9
         121.0       4.6
         128.0       3.2
         129.0       3.7
         130.0       1.4
         131.0       2.1
         133.0       3.6
         134.0       3.6
         135.0       1.5
         141.0       1.1
         142.0       1.0
         143.0       3.9
         144.0       1.4
         145.0       4.6
         146.0       1.2
         147.0       5.1
         148.0       1.2
         149.0       1.4
         157.0       1.4
         159.0       2.1
         160.0       1.1
         161.0      38.1
         162.0       7.6
         163.0      20.5
         164.0       5.3
         173.0       1.5
         175.0      18.7
         176.0       8.6
         177.0       1.8
         185.0       1.0
         187.0       2.1
         188.0       1.2
         189.0       9.3
         190.0       2.2
         203.0      33.1
         204.0       5.6
         205.0       5.8
         206.0       7.0
         207.0       1.0
         217.0       2.6
         218.0      27.8
         219.0     100.0
         220.0      22.2
         221.0       2.6
         248.0       1.1
         262.0       9.3
         263.0      26.7
         264.0       5.6
    

400 MHz in CDCl3


  • 1H NMR 399.65 MHz
    C17 H29 N O 0.043 g : 0.5 ml CDCl3
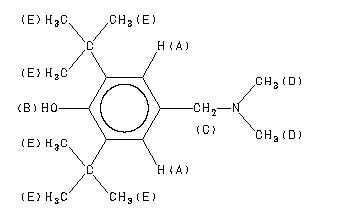
    2,6-di-tert-butyl-4-(dimethylaminomethyl)phenol
    ChemicalStructure
        Assign.     Shift(ppm)
    A 7.066 B 5.136 C 3.322 D 2.223 E 1.439

         Hz     ppm     Int.
    

       2824.22   7.067    120
       2052.73   5.137     71
       1327.64   3.323    104
        888.55   2.224    413
        575.07   1.439   1000
    

in CDCl3



KBr disc



nujol mull