图谱信息 供应商 相关产品
网站主页CAS数据库列表 88-58-4更多图谱2,5-二特丁基对苯二酚(88-58-4)Raman光谱

2,5-二特丁基对苯二酚

产品名称 2,5-二特丁基对苯二酚

CAS号88-58-4

分子式C14H22O2

分子量222.32

展开


  • Mass

    MS-NW-8128          
    2,5-di-tert-butylhydroquinone
    C14H22O2            (Mass of molecular ion:    222)
    

       Source Temperature: 170 °C
       Sample Temperature: 110 °C
       Direct, 75 eV
    

          18.0       1.1
          29.0       2.0
          39.0       1.1
          41.0       4.9
          43.0       5.5
          53.0       1.0
          55.0       2.1
          57.0      16.6
          67.0       1.3
          69.0       2.3
          71.0       4.1
          77.0       1.4
          79.0       1.1
          81.0       2.2
          82.0       3.2
          91.0       1.8
          96.0       1.2
         105.0       1.2
         107.0       1.0
         115.0       1.3
         123.0       2.4
         137.0       4.1
         149.0       1.3
         151.0       3.5
         163.0       1.7
         165.0       1.4
         177.0       2.2
         179.0       3.0
         191.0       2.7
         192.0       2.8
         207.0     100.0
         208.0      14.5
         209.0       1.4
         222.0      50.7
         223.0       7.9
    

parameter in DMSO-d6

400 MHz in DMSO-d6

90 MHz in DMSO-d6


  • 1H NMR 300 MHz
    C14 H22 O2 0.045 g : 0.5 ml DMSO-d6
    2,5-di-tert-butylhydroquinone
    ChemicalStructure
        Parameter     ppm  Hz
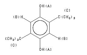
    D(A) 8.36 D(B) 6.60 D(C) 1.294

         Hz     ppm     Int.
    

       2507.99   8.360     53
       1980.01   6.600    111
        388.22   1.294   1000
    


  • 1H NMR 399.65 MHz
    C14 H22 O2 0.045 g : 0.5 ml DMSO-d6
    2,5-di-tert-butylhydroquinone
    ChemicalStructure
        Assign.     Shift(ppm)
    A 8.36 B 6.600 C 1.294

         Hz     ppm     Int.
    

       3339.60   8.357    124
       2637.82   6.601    147
        517.09   1.294   1000
    


  • 1H NMR 89.56 MHz
    C14 H22 O2 0.045 g : 0.5 ml DMSO-d6
    2,5-di-tert-butylhydroquinone
    ChemicalStructure
        Assign.     Shift(ppm)
    A 8.32 B 6.594 C 1.290

         Hz     ppm     Int.
    

        745.38   8.323    169
        590.56   6.595    126
        115.50   1.290   1000
    

DMSO-d6



KBr disc