
2-甲基-二硝基萘酚
产品名称
2-甲基-二硝基萘酚
CAS号881-03-8
分子式C11H9NO2
分子量187.19
InChIInChI=1S/C11H9NO2/c1-8-6-7-9-4-2-3-5-10(9)11(8)12(13)14/h2-7H,1H3
InChIKeyIZNWACYOILBFEG-UHFFFAOYSA-N
SmilesC1([N+]([O-])=O)=C2C(C=CC=C2)=CC=C1C
展开
收起
-
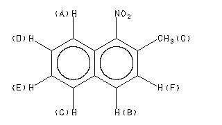
Assign. Shift(ppm)
A 7.85
B 7.80
C 7.68
D 7.64
E 7.48
F 7.30
G 2.463
Spectral Code: 1H NMR : 90 MHz in CDCl3
-
Spectral Code: IR : KBr disc
2-甲基-二硝基萘酚(881-03-8)Raman光谱 相关产品图谱