图谱信息 供应商 相关产品
网站主页CAS数据库列表 881-07-2更多图谱8-硝基喹那啉(8-硝基-2-甲基喹啉)(881-07-2)红外图谱(IR1)

8-硝基喹那啉(8-硝基-2-甲基喹啉)

产品名称 8-硝基喹那啉(8-硝基-2-甲基喹啉)

CAS号881-07-2

分子式C10H8N2O2

分子量188.18

展开


  • Mass

    MS-NW-7783          
    2-methyl-8-nitroquinoline
    C10H8N2O2           (Mass of molecular ion:    188)
    

       Source Temperature: 180 °C
       Sample Temperature: 140 °C
       Direct, 75 eV
    

          15.0       1.6
          18.0       2.4
          26.0       2.4
          27.0       8.9
          28.0       3.5
          30.0      12.5
          37.0       3.3
          38.0       6.7
          39.0      31.5
          40.0       2.0
          41.0       1.9
          43.0       4.4
          46.0       2.0
          49.0       1.2
          50.0      14.0
          51.0      16.9
          52.0       6.5
          53.0       2.7
          57.5       1.3
          61.0       3.4
          62.0      10.4
          63.0      22.5
          64.0       7.5
          65.0       9.1
          66.0       1.0
          73.0       1.2
          74.0      12.3
          75.0      11.5
          76.0       7.5
          77.0      17.7
          78.0       4.9
          86.0       2.4
          87.0       4.9
          88.0       6.9
          89.0      20.0
          90.0       4.3
          91.0       2.0
          98.0       1.7
          99.0       2.0
         100.0       3.7
         101.0       3.0
         102.0       6.1
         103.0      26.4
         104.0       4.5
         113.0       6.5
         114.0       9.2
         115.0      79.1
         116.0      20.2
         117.0       1.6
         127.0       4.3
         128.0       5.0
         129.0       2.2
         130.0     100.0
         131.0      10.6
         140.0      14.6
         141.0       7.2
         142.0      25.8
         143.0       3.1
         158.0      28.4
         159.0       3.3
         172.0       1.8
         188.0      66.3
         189.0       8.4
    

400 MHz in CDCl3


  • 1H NMR 399.65 MHz
    C10 H8 N2 O2 0.045 g : 0.5 ml CDCl3
    2-methyl-8-nitroquinoline
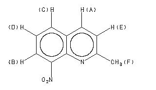
    ChemicalStructure
        Assign.     Shift(ppm)
    A 8.102 B *1 7.95 C *1 7.93 D 7.511 E 7.398 F 2.745

         Hz     ppm     Int.
    

       3242.31   8.113    142
       3233.76   8.092    151
       3182.62   7.964     74
       3181.40   7.961     93
       3174.44   7.944    173
       3173.22   7.940    179
       3166.99   7.925    111
       3165.65   7.922     79
       3009.52   7.531     90
       3001.71   7.511    125
       2993.77   7.491     76
       2960.82   7.409    164
       2952.27   7.388    156
       1097.29   2.746   1000
    

in CDCl3



KBr disc



nujol mull