图谱信息 供应商 相关产品
网站主页CAS数据库列表 88159-25-5更多图谱间甲苯基四氮唑红(88159-25-5)红外图谱(IR1)

间甲苯基四氮唑红

产品名称 间甲苯基四氮唑红

CAS号88159-25-5

分子式C20H17ClN4

分子量348.83

展开


  • Mass

    MS-NW-8215          
    2,5-diphenyl-3-(m-tolyl)-2H-tetrazolium chloride
    C20H17ClN4          (Mass of molecular ion:    348)
    

       Source Temperature: 200 °C
       Sample Temperature: 200 °C
       Direct, 75 eV
    

          18.0       2.7
          27.0       2.9
          28.0      21.9
          35.0       3.4
          36.0      35.4
          37.0       1.9
          38.0      13.4
          39.0      13.5
          40.0       1.6
          41.0       4.4
          50.0       7.6
          51.0      15.4
          52.0       9.9
          53.0       1.6
          62.0       3.1
          63.0      11.7
          64.0      18.4
          65.0      12.4
          66.0       3.4
          69.5       1.5
          74.0       2.5
          75.0       3.7
          76.0      11.1
          77.0      24.3
          78.0      26.9
          79.0       7.3
          81.5       1.1
          82.0       2.0
          82.5       3.5
          83.0       2.0
          83.5       1.1
          86.0       1.0
          87.0       1.5
          88.0       1.8
          89.0       5.2
          90.0       4.1
          91.0     100.0
          92.0      20.3
          93.0       3.4
          97.0       1.9
         102.0       2.0
         103.0      14.6
         104.0      32.5
         105.0      52.0
         106.0       8.6
         107.0       2.0
         112.0       1.0
         113.0       1.6
         114.0       1.1
         115.0       2.9
         118.0       1.4
         125.0       2.7
         126.0       2.6
         127.0       2.2
         128.0       1.7
         138.0       1.0
         139.0      11.3
         140.0       3.6
         141.0       4.0
         142.0       1.0
         151.0       2.2
         152.0       5.1
         153.0       3.8
         154.0       4.6
         163.0       3.6
         164.0       3.6
         165.0      31.3
         166.0      27.5
         167.0      16.7
         168.0       8.3
         169.0       1.2
         176.0       1.8
         177.0       1.8
         178.0       6.0
         179.0       8.7
         180.0      20.7
         181.0      10.4
         182.0       4.0
         183.0       1.3
         190.0       1.1
         192.0       2.7
         193.0       8.9
         194.0      67.7
         195.0      12.7
         196.0       2.0
         202.0       1.7
         205.0       1.2
         206.0       1.7
         207.0      14.2
         208.0      50.3
         209.0       8.4
         214.0       1.3
         215.0       1.7
         216.0       1.5
         228.0       1.9
         229.0       1.3
         230.0       4.2
         231.0       1.0
         232.0       1.1
         239.0       1.3
         241.0       3.3
         242.0       7.9
         243.0       2.4
         244.0       5.6
         245.0       1.0
         255.0       1.7
         256.0       3.4
         257.0       1.9
         258.0       1.2
         269.0       2.1
         270.0       5.5
         271.0       1.8
         278.0       1.0
         283.0       3.1
         284.0      10.3
         285.0       2.5
         298.0       2.6
         318.0       2.0
         320.0       2.4
         332.0       1.2
         360.0       1.8
         374.0       1.4
    

400 MHz in CDCl3


  • 1H NMR 399.65 MHz
    C20 H17 Cl N4 saturated in CDCl3
    2,5-diphenyl-3-(m-tolyl)-2H-tetrazolium chloride
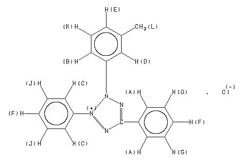
    ChemicalStructure
        Assign.     Shift(ppm)
    A 8.23 B 8.20 C 8.093 D 7.938 E 7.831 F 7.46 G 7.383 J 7.328 K 7.239 L 2.310

         Hz     ppm     Int.
    

       3293.33   8.241    281
       3289.67   8.232     54
       3286.13   8.223    310
       3284.42   8.219    287
       3278.69   8.204     33
       3278.08   8.203     35
       3277.59   8.202     38
       3275.63   8.197     80
       3274.90   8.195     81
       3238.53   8.104    260
       3234.74   8.094     46
       3230.83   8.085    287
       3172.36   7.938    200
       3134.03   7.842     99
       3125.61   7.821    103
       3016.36   7.548     78
       3015.38   7.546     74
       3014.04   7.542     68
       3012.94   7.539     59
       3012.33   7.538     56
       3009.16   7.530    198
       3006.71   7.524    188
       3004.52   7.518     76
       3003.91   7.517     75
       3000.98   7.510    156
       2999.39   7.506    151
       2993.90   7.492     31
       2993.41   7.491     34
       2993.04   7.490     33
       2992.68   7.489     35
       2992.19   7.488     32
       2991.46   7.486     33
       2991.09   7.485     32
       2989.99   7.482     31
       2985.72   7.471    253
       2981.93   7.462     52
       2977.91   7.452    322
       2974.73   7.444     64
       2974.37   7.443     62
       2970.58   7.433    128
       2967.41   7.426     41
       2966.92   7.424     40
       2966.19   7.422     37
       2965.21   7.420     33
       2964.36   7.418     31
       2963.99   7.417     32
       2963.38   7.415     30
       2958.62   7.404    206
       2950.44   7.383    323
       2942.75   7.364    190
       2938.84   7.354     38
       2938.35   7.353     38
       2937.87   7.352     40
       2933.23   7.340    117
       2932.62   7.338    116
       2928.83   7.329     50
       2925.17   7.320    169
       2900.15   7.257    151
       2894.53   7.243     30
       2892.21   7.237    211
       2884.28   7.218     90
        923.34   2.311   1000
    

in CDCl3

in D2O





KBr disc