
(2E)-1-(2-羟基苯基)-3-苯基-2-丙烯-1-酮
产品名称
(2E)-1-(2-羟基苯基)-3-苯基-2-丙烯-1-酮
CAS号888-12-0
分子式C15H12O2
分子量224.25
InChIInChI=1S/C15H12O2/c16-14-9-5-4-8-13(14)15(17)11-10-12-6-2-1-3-7-12/h1-11,16H/b11-10+
InChIKeyAETKQQBRKSELEL-ZHACJKMWSA-N
SmilesC(C1=CC=CC=C1O)(=O)/C=C/C1=CC=CC=C1
展开
收起
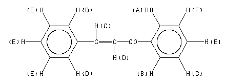
-
Assign. Shift(ppm)
A 12.80
B 7.90
C 7.89
D 7.65
E 7.50 to 7.39
F 7.03
G 6.94
400MHZ : HSP-42-320
Spectral Code: 1H NMR : 90 MHz in CDCl3
-
Spectral Code: IR : KBr disc
(2E)-1-(2-羟基苯基)-3-苯基-2-丙烯-1-酮(888-12-0)红外图谱(IR1) 相关产品图谱