-
MS-NW-0678 3-methyl-1-phenyl-5-pyrazolone C10H10N2O (Mass of molecular ion: 174)
Source Temperature: 170 °C Sample Temperature: 120 °C Direct, 75 eV
15.0 1.1 18.0 2.1 27.0 2.6 28.0 2.1 37.0 1.1 38.0 2.9 39.0 10.0 40.0 2.8 41.0 10.0 42.0 2.4 50.0 3.2 51.0 12.6 52.0 2.7 54.0 2.8 55.0 1.1 63.0 4.9 64.0 11.0 65.0 4.0 69.0 3.9 76.0 1.2 77.0 65.2 78.0 8.2 82.0 1.0 87.0 3.0 90.0 1.1 91.0 70.7 92.0 6.6 93.0 1.7 104.0 1.8 105.0 30.8 106.0 2.7 132.0 12.1 133.0 1.4 145.0 3.9 146.0 1.9 174.0 100.0 175.0 11.8
400 MHz in DMSO-d6
-
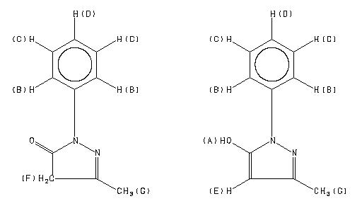
1H NMR 399.65 MHz C10 H10 N2 O 0.041 g : 0.5 ml DMSO-d6 3-methyl-1-phenyl-5-pyrazolone 
Assign. Shift(ppm)
A 11.47 B 7.728 C 7.416 D 7.201 E 5.363 F 3.687 G 3.124 KETO-ENOL TAUTOMERS
Hz ppm Int.4583.19 11.469 44 3092.95 7.740 244 3084.71 7.719 269 2972.43 7.438 211 2964.18 7.417 346 2956.49 7.398 240 2885.24 7.220 88 2877.91 7.202 147 2870.59 7.183 75 2143.60 5.364 159 1473.76 3.688 30 849.16 2.125 1000
更多供应商






