
2-乙酰氨基苯甲酸
产品名称
2-乙酰氨基苯甲酸
CAS号89-52-1
分子式C9H9NO3
分子量179.17
InChIInChI=1S/C9H9NO3/c1-6(11)10-8-5-3-2-4-7(8)9(12)13/h2-5H,1H3,(H,10,11)(H,12,13)
InChIKeyQSACCXVHEVWNMX-UHFFFAOYSA-N
SmilesC(O)(=O)C1=CC=CC=C1NC(C)=O
展开
收起
-
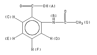
Assign. Shift(ppm)
A *1 13.
B *1 11.1
C 8.495
D 7.995
E 7.581
F 7.146
G 2.151
Spectral Code: 1H NMR : 90 MHz in DMSO-d6
-
ppm Int. Assign.
169.33 597 1
168.29 542 2
140.90 582 3
133.75 880 4
130.98 786 5
122.44 1000 6
120.11 651 7
116.77 502 8
24.84 646 9
Spectral Code: 13C NMR : DMSO-d6
-
Spectral Code: IR : KBr disc
2-乙酰氨基苯甲酸(89-52-1)红外图谱(IR1) 相关产品图谱