图谱信息 供应商 相关产品
网站主页CAS数据库列表 89-65-6更多图谱D-异抗坏血酸 (89-65-6)质谱(MS)

D-异抗坏血酸

产品名称 D-异抗坏血酸

CAS号89-65-6

分子式C6H8O6

分子量176.12

展开


  • Mass

    MS-NW-6170          
    D-erythro-2-hexenoic acid gamma-lactone
    C6H8O6              (Mass of molecular ion:    176)
    

       Source Temperature: 160 °C
       Sample Temperature: 150 °C
       Direct, 75 eV
    

          14.0       2.4
          15.0      12.3
          16.0       1.1
          17.0       3.4
          18.0      14.8
          19.0       5.6
          26.0       3.3
          27.0       7.1
          28.0       8.9
          29.0      27.6
          30.0       6.7
          31.0      21.2
          32.0       1.6
          37.0       1.0
          38.0       1.4
          39.0       5.4
          40.0       2.2
          41.0       3.9
          42.0      11.9
          43.0      40.9
          44.0      17.1
          45.0       7.4
          46.0       1.4
          47.0       1.1
          53.0       2.9
          54.0       5.7
          55.0      10.3
          56.0       5.7
          57.0       5.7
          58.0       9.0
          59.0      10.0
          60.0       4.3
          61.0      24.8
          68.0       3.5
          69.0       6.8
          70.0      14.7
          71.0      15.2
          72.0       5.3
          73.0       5.8
          74.0       2.6
          76.0       3.6
          83.0       1.2
          84.0       4.8
          85.0      13.4
          86.0       1.3
          87.0       8.3
          88.0       4.1
          89.0       1.9
          91.0       3.5
          98.0       1.5
          99.0       1.6
         100.0       7.9
         101.0       5.9
         102.0       2.2
         112.0       1.7
         113.0       1.1
         115.0       2.1
         116.0     100.0
         117.0       5.1
         118.0       1.6
         119.0      13.0
         127.0       1.2
         128.0       1.0
         145.0       2.1
         146.0       1.2
         176.0      12.9
         177.0       1.1
    

400 MHz in DMSO-d6

90 MHz in D2O


  • 1H NMR 399.65 MHz
    C6 H8 O6 0.039 g : 0.5 ml DMSO-d6
    D-erythro-2-hexenoic acid gamma-lactone
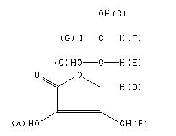
    ChemicalStructure
        Assign.     Shift(ppm)
    A *1 11.0 B *1 8.37 C *1 5.23 to 5.08 D 4.746 E 3.849 F *2 3.494 G *2 3.445 J(D,E)=2.4HZ J(E,F)=5.3HZ J(E,G)=6.2HZ J(F,G)=-11.0HZ 90MHZ : HSP-05-580

         Hz     ppm     Int.
    

       3345.72   8.372    120
       2089.20   5.228     56
       1897.97   4.750   1000
       1895.59   4.744    978
       1545.56   3.868    122
       1543.18   3.862    134
       1539.70   3.853    249
       1537.50   3.848    238
       1534.02   3.839    148
       1531.82   3.833    132
       1406.72   3.520    169
       1401.41   3.507    170
       1395.73   3.493    423
       1390.42   3.480    383
       1383.82   3.463    434
       1377.60   3.448    427
       1372.83   3.436    225
       1370.63   3.430     84
       1369.54   3.427     85
       1366.61   3.420    233
       1364.22   3.414    115
       1356.90   3.396    170
       1355.07   3.391    174
       1354.15   3.389    174
       1353.78   3.388    173
       1338.58   3.350     48
       1337.30   3.347     43
       1336.75   3.345     41
       1334.73   3.340     35
       1334.18   3.339     34
    


  • 1H NMR 89.56 MHz
    C6 H8 O6 0.038 g : 0.5 ml D2O
    D-erythro-2-hexenoic acid gamma-lactone
    ChemicalStructure
        Assign.     Shift(ppm)
    A 4.91 C 4.14 D 3.72 THE SOLVENT SIGNAL REMOVED.

         Hz     ppm     Int.
    

        441.75   4.933    297
        440.44   4.918    395
        438.75   4.899    336
        437.44   4.885    365
        378.69   4.229    128
        378.56   4.227    128
        375.50   4.193    118
        373.88   4.175    167
        372.63   4.161    197
        370.75   4.140    168
        369.38   4.125    218
        367.69   4.106    230
        364.75   4.073    211
        335.06   3.742   1000
        329.81   3.683    627
    

in D2O

in DMSO-d6





KBr disc



nujol mull