产品名称 3-氯-5-甲基哒嗪
CAS号89283-31-8
分子式C5H5ClN2
分子量128.56
InChIInChI=1S/C5H5ClN2/c1-4-2-5(6)8-7-3-4/h2-3H,1H3
InChIKeyGXBWRBSCBONTKK-UHFFFAOYSA-N
SmilesC1(Cl)=NN=CC(C)=C1
展开 收起
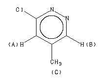
Parameter ppm Hz D(A) 7.40 D(B) 8.99 D(C) 2.41 J(A,B) 2.2 J(A,C) 1.0 J(B,C) 0.5 TORI,K. & OGATA,M. CHEM.PHARM.BULL. 12, 271 (1964)
更多供应商
3-氯-5-甲基哒嗪(89283-31-8)核磁图(1HNMR) 相关产品图谱