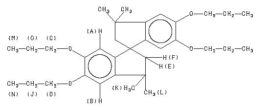
3,3,3',3'-四甲基-5,5',6,6'-四丙氧基- 1,1'-螺环二茚满
产品名称 3,3,3',3'-四甲基-5,5',6,6'-四丙氧基- 1,1'-螺环二茚满
CAS号89929-65-7
分子式C33H48O4
分子量508.73
-
MS-IW-5807 3,3,3',3'-tetramethyl-5,5',6,6'-tetrapropoxy-2,2',3,3'-tetrahydro-1,1'-spirobi(1H-indene) C33H48O4 (Mass of molecular ion: 508)
Source Temperature: 190 °C Sample Temperature: 170 °C Direct, 75 eV
18.0 2.7 27.0 1.0 41.0 2.9 43.0 4.6 123.0 1.3 137.0 1.6 151.0 2.6 163.0 1.5 170.0 1.0 175.0 2.1 177.0 1.0 191.0 2.6 193.0 3.2 212.0 1.4 233.0 3.5 235.0 3.8 251.0 1.1 254.0 2.2 263.0 1.2 265.0 1.4 277.0 1.2 279.0 1.4 281.0 1.2 293.0 1.3 295.0 1.3 307.0 1.3 309.0 1.8 321.0 1.1 323.0 1.1 325.0 1.0 337.0 1.1 339.0 1.5 349.0 1.2 351.0 1.8 366.0 1.0 367.0 1.3 379.0 1.2 381.0 1.9 393.0 1.3 408.0 1.2 409.0 2.9 423.0 5.7 424.0 1.9 434.0 1.5 449.0 1.6 450.0 1.0 451.0 11.9 452.0 3.7 465.0 1.1 466.0 2.1 493.0 69.0 494.0 24.2 495.0 4.9 508.0 100.0 509.0 36.5 510.0 7.3 511.0 1.0
400 MHz in CDCl3
-
1H NMR 399.65 MHz C33 H48 O4 0.040 g : 0.5 ml CDCl3 3,3,3',3'-tetramethyl-5,5',6,6'-tetrapropoxy-2,2',3,3'-tetrahydro-1,1'-spirobi(1H-indene) 
Assign. Shift(ppm)
A 6.679 B 6.311 C *1 3.983 D *1 3.789 E *2 2.292 F *2 2.174 G *3 1.853 J *3 1.743 K *4 1.355 L *4 1.314 M *5 1.061 N *5 0.974 J(E,F)=-12.9HZ
Hz ppm Int.2669.19 6.679 554 2522.34 6.312 577 1598.39 4.000 245 1591.80 3.983 515 1585.21 3.967 256 1521.00 3.806 253 1514.40 3.790 530 1507.81 3.773 261 924.19 2.313 161 911.25 2.281 251 873.90 2.187 215 860.96 2.155 140 758.54 1.899 30 751.10 1.880 114 744.51 1.863 235 737.06 1.845 246 730.35 1.828 122 723.14 1.810 35 707.28 1.770 114 700.68 1.754 228 693.24 1.735 246 686.52 1.718 122 679.32 1.700 36 541.63 1.356 1000 525.27 1.315 918 431.52 1.080 460 428.47 1.073 30 424.19 1.062 932 416.75 1.043 425 396.73 0.993 463 389.40 0.975 925 381.96 0.956 420
更多供应商





