图谱信息 供应商 相关产品
网站主页CAS数据库列表 90-44-8更多图谱蒽酮(90-44-8)质谱(MS)

蒽酮

产品名称 蒽酮

CAS号90-44-8

分子式C14H10O

分子量194.23

展开


  • Mass

    MS-NW-0296          
    anthrone
    C14H10O             (Mass of molecular ion:    194)
    

       Source Temperature: 140 °C
       Sample Temperature:   0 °C
       Direct, 75 eV
    

          39.0       1.2
          50.0       1.1
          51.0       1.2
          62.0       1.2
          63.0       2.8
          69.5       2.4
          74.0       1.2
          75.0       1.2
          81.5       2.2
          82.0       5.8
          82.5       7.1
          83.0       2.5
          87.0       1.3
          89.0       1.7
          97.0       1.8
         115.0       2.1
         139.0       4.2
         163.0       7.0
         164.0       5.9
         165.0      53.5
         166.0      10.3
         193.0       8.9
         194.0     100.0
         195.0      15.2
         196.0       1.3
    

400 MHz in CDCl3


  • 1H NMR 399.65 MHz
    C14 H10 O 0.027 g : 0.5 ml CDCl3
    anthrone
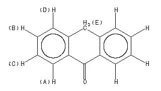
    ChemicalStructure
        Assign.     Shift(ppm)
    A 8.352 B 7.576 C 7.45 D 7.45 E 4.324

         Hz     ppm     Int.
    

       3342.65   8.364    575
       3341.19   8.361    529
       3334.35   8.344    613
       3333.25   8.341    554
       3036.74   7.599    296
       3035.28   7.595    304
       3033.33   7.590     54
       3032.96   7.590     53
       3029.42   7.581    703
       3028.32   7.578    450
       3027.47   7.576    430
       3025.39   7.571     58
       3024.29   7.568     55
       3021.85   7.562    509
       3020.39   7.558    485
       2992.55   7.488     33
       2991.46   7.486     37
       2991.09   7.485     37
       2984.01   7.467    399
       2983.40   7.466    520
       2982.79   7.464    328
       2981.45   7.461    379
       2980.59   7.459    685
       2979.25   7.455    673
       2978.27   7.453    422
       2977.17   7.450    493
       2976.44   7.448    663
       2975.95   7.447    599
       2974.00   7.442    251
       2973.02   7.440    421
       2972.53   7.438    443
       2972.17   7.437    436
       2971.31   7.435    392
       2970.21   7.433    270
       2969.36   7.430    332
       2968.75   7.429    270
       2968.02   7.427    226
       1728.03   4.324   1000
    

in CDCl3



CCl4 solution



KBr disc



nujol mull