图谱信息 供应商 相关产品
网站主页CAS数据库列表 90-50-6更多图谱3,4,5-三甲氧基肉桂酸(90-50-6)红外图谱(IR1)

3,4,5-三甲氧基肉桂酸

产品名称 3,4,5-三甲氧基肉桂酸

CAS号90-50-6

分子式C12H14O5

分子量238.24

展开


  • Mass

    MS-NW-7002          
    3,4,5-trimethoxycinnamic acid
    C12H14O5            (Mass of molecular ion:    238)
    

       Source Temperature: 180 °C
       Sample Temperature: 120 °C
       Direct, 75 eV
    

          15.0       2.5
          18.0       2.3
          27.0       1.4
          28.0       1.1
          38.0       1.4
          39.0       3.1
          45.0       1.5
          50.0       2.3
          51.0       3.9
          52.0       1.0
          53.0       3.5
          55.0       1.5
          59.0       1.1
          62.0       1.5
          63.0       4.9
          64.0       2.0
          65.0       3.8
          66.0       1.7
          69.0       3.1
          74.0       1.1
          75.0       1.7
          76.0       2.2
          77.0       4.9
          78.0       1.7
          79.0       2.3
          81.0       3.0
          89.0       1.9
          91.0       5.1
          92.0       2.5
          93.0       1.4
          95.0       1.1
         102.0       1.1
         103.0       1.9
         104.0       1.0
         105.0       1.9
         106.0       1.2
         107.0       2.7
         108.0       1.1
         109.0       2.3
         117.0       1.5
         118.0       1.1
         119.0       4.5
         120.0       2.1
         121.0       4.8
         124.0       1.1
         133.0       2.0
         134.0       1.8
         135.0       7.4
         136.0       1.5
         137.0       3.4
         139.0       3.2
         145.0       1.9
         147.0       2.3
         149.0       3.1
         152.0       1.2
         153.0       1.5
         162.0       1.9
         163.0      13.4
         164.0       2.6
         165.0       1.4
         167.0       2.4
         177.0       4.2
         178.0       3.7
         179.0       1.0
         180.0       3.2
         191.0       2.1
         192.0       1.5
         193.0       1.6
         195.0       5.1
         208.0       1.4
         221.0       1.8
         222.0       2.2
         223.0      57.8
         224.0       7.2
         225.0       1.1
         238.0     100.0
         239.0      13.4
         240.0       1.9
    

90 MHz in CDCl3


  • 1H NMR 89.56 MHz
    C12 H14 O5 0.046 g : 0.5 ml CDCl3
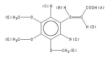
    3,4,5-trimethoxycinnamic acid
    ChemicalStructure
        Assign.     Shift(ppm)
    A 12.07 B 7.709 C 6.787 D 6.371 E 3.897 J(B,D)=15.9HZ.

         Hz     ppm     Int.
    

        699.40   7.810     30
        683.51   7.632     39
        607.89   6.788    145
        577.55   6.449     54
        561.74   6.273     42
        348.97   3.897   1000
    

in CDCl3



KBr disc



nujol mull



4880 A,200 M,powder