图谱信息 供应商 相关产品
网站主页CAS数据库列表 90319-52-1更多图谱(R)-4-苯基-2-唑烷酮(90319-52-1)红外图谱(IR2)

(R)-4-苯基-2-唑烷酮

产品名称 (R)-4-苯基-2-唑烷酮

CAS号90319-52-1

分子式C9H9NO2

分子量163.17

展开


  • Mass

    MS-IW-9551          
    (R)-(-)-4-phenyl-2-oxazolidinone
    C9H9NO2             (Mass of molecular ion:    163)
    

       Source Temperature: 160 °C
       Sample Temperature: 120 °C
       Direct, 75 eV
    

          15.0       2.6
          27.0       2.5
          28.0       9.3
          29.0       1.0
          38.0       2.1
          39.0       9.1
          40.0       1.1
          41.0       4.5
          42.0       9.8
          43.0       1.1
          44.0       1.0
          50.0       8.8
          51.0      19.7
          52.0       8.7
          52.5       2.8
          58.0       1.5
          58.5       5.0
          59.0       1.1
          62.0       2.1
          63.0       5.9
          64.0       2.1
          65.0       9.0
          66.5       1.3
          74.0       2.3
          75.0       1.9
          76.0       3.4
          77.0      22.8
          78.0      26.3
          79.0       2.6
          85.0       1.8
          86.0       5.5
          89.0       6.9
          90.0       6.0
          91.0      34.1
          92.0       3.8
         103.0       2.3
         104.0      98.9
         105.0     100.0
         106.0       8.4
         118.0       2.9
         119.0       6.6
         120.0       1.0
         132.0       5.6
         133.0      89.0
         134.0       8.0
         162.0      15.2
         163.0      64.3
         164.0       7.6
    

400 MHz in CDCl3


  • 1H NMR 399.65 MHz
    C9 H9 N O2 0.035 g : 0.5 ml CDCl3
    (R)-(-)-4-phenyl-2-oxazolidinone
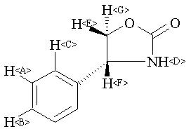
    ChemicalStructure
        Assign.     Shift(ppm)
    A 7.385 B 7.35 C 7.32 D 6.70 E 4.945 F 4.703 G 4.142

         Hz     ppm     Int.
    

       2961.91   7.412    156
       2960.08   7.407    247
       2958.50   7.403    133
       2953.61   7.391    742
       2951.78   7.386    471
       2946.17   7.372    864
       2941.16   7.360    229
       2939.58   7.356    429
       2937.99   7.352    359
       2935.18   7.345    131
       2932.74   7.339    531
       2929.08   7.330   1000
       2927.37   7.325    924
       2925.17   7.320    310
       2922.61   7.313    331
       2921.02   7.309    584
       2678.10   6.702    231
       1984.38   4.966    223
       1976.44   4.946    335
       1968.63   4.926    277
       1888.43   4.726    437
       1879.76   4.704    799
       1871.09   4.682    397
       1663.09   4.162    450
       1656.13   4.144    481
       1654.54   4.140    446
       1647.58   4.123    405
    

in CDCl3



KBr disk



nujol mull