图谱信息 供应商 相关产品
网站主页CAS数据库列表 905-96-4更多图谱3-乙基-2-[3-(3-乙基-3H-苯并恶唑-2-亚基)丙-1-烯基]苯并恶唑碘化物(905-96-4)核磁图(1HNMR)

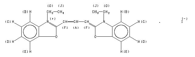
3-乙基-2-[3-(3-乙基-3H-苯并恶唑-2-亚基)丙-1-烯基]苯并恶唑碘化物

产品名称 3-乙基-2-[3-(3-乙基-3H-苯并恶唑-2-亚基)丙-1-烯基]苯并恶唑碘化物

CAS号905-96-4

分子式C21H21N2O2.I

分子量460.31

400 MHz in CDCl3


  • 1H NMR 399.65 MHz
    C21 H21 I N2 O2 saturated in CDCl3
    3-ethyl-2-(3-(3-ethyl-2(3H)-benzoxazolylidene)-1-propenyl)benzoxazolium iodide
    ChemicalStructure
        Assign.     Shift(ppm)
    A 8.495 B 7.479 C 7.400 D 7.342 E 7.300 F 6.830 G 4.352 J 1.554 J(A,F)=13.2HZ

         Hz     ppm     Int.
    

       3408.94   8.530     89
       3395.75   8.497    189
       3382.57   8.464    101
       2993.90   7.492    188
       2993.41   7.491    188
       2986.08   7.472    247
       2985.35   7.470    250
       2967.65   7.426     76
       2966.55   7.423     83
       2960.08   7.407    231
       2958.86   7.404    222
       2952.39   7.388    216
       2951.17   7.385    182
       2941.41   7.360    162
       2940.06   7.357    204
       2933.59   7.341    185
       2932.25   7.338    224
       2925.66   7.321     95
       2924.44   7.318     89
       2921.02   7.309    247
       2920.17   7.307    234
       2913.09   7.290    170
       2912.35   7.288    164
       2736.21   6.847    353
       2723.02   6.814    346
       1750.49   4.381    109
       1746.46   4.370     33
       1743.16   4.362    362
       1739.50   4.353     43
       1738.89   4.352     46
       1735.84   4.344    371
       1732.67   4.336     42
       1732.30   4.335     39
       1731.69   4.334     37
       1731.20   4.332     34
       1728.64   4.326    119
        643.92   1.612     31
        643.68   1.611     31
        642.94   1.609     36
        631.59   1.581    148
        631.23   1.580    143
        630.62   1.578    149
        628.05   1.572    525
        624.02   1.562    155
        620.85   1.554   1000
        616.94   1.544     79
        616.70   1.544     79
        616.46   1.543     79
        613.53   1.536    426
        610.11   1.527     40
        609.13   1.525     31
    

in CDCl3