图谱信息 供应商 相关产品
网站主页CAS数据库列表 91-62-3更多图谱6-甲基喹啉(91-62-3)核磁图(13CNMR)

6-甲基喹啉

产品名称 6-甲基喹啉

CAS号91-62-3

分子式C10H9N

分子量143.19

展开


  • Mass

    MS-NW-0152          
    6-methylquinoline
    C10H9N              (Mass of molecular ion:    143)
    

       Source Temperature: 230 °C
       Sample Temperature:  75 °C
       Reservoir, 75 eV
    

          18.0       1.4
          28.0       2.1
          38.0       1.0
          39.0       3.8
          50.0       2.2
          51.0       3.0
          57.5       2.1
          58.5       5.0
          62.0       2.2
          63.0       5.6
          64.0       1.5
          65.0       1.9
          70.5       3.0
          71.5       3.9
          74.0       1.3
          75.0       1.7
          76.0       1.2
          77.0       1.1
          87.0       1.2
          88.0       1.2
          89.0       6.0
          90.0       1.5
         113.0       1.4
         114.0       2.2
         115.0      14.1
         116.0       5.5
         117.0       3.8
         140.0       2.4
         141.0       7.8
         142.0      47.8
         143.0     100.0
         144.0      11.6
    

90 MHz in CDCl3

400 MHz in CDCl3


  • 1H NMR 89.56 MHz
    C10 H9 N 0.029 g : 0.5 ml CDCl3
    6-methylquinoline
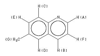
    ChemicalStructure
        Assign.     Shift(ppm)
    A 8.833 B 8.03 C 7.99 D 7.55 E 7.53 F 7.328 G 2.520 J(A,B) = 1.7 HZ. J(A,F) = 4.3 HZ. J(B,F) = 8.3 HZ

         Hz     ppm     Int.
    

        794.19   8.868    123
        792.50   8.849    137
        789.94   8.821    132
        788.19   8.801    140
        724.31   8.088    101
        723.63   8.080     85
        722.50   8.068    129
        721.69   8.059    148
        718.25   8.020     50
        716.13   7.997    139
        714.81   7.982    149
        712.19   7.953    195
        679.38   7.586     62
        677.38   7.564    369
        676.31   7.552    235
        675.31   7.541    179
        674.38   7.530    131
        670.31   7.485    134
        668.31   7.463     73
        662.13   7.394    195
        657.88   7.346    169
        653.88   7.302    166
        649.63   7.254    159
        225.75   2.521   1000
    


  • 1H NMR 399.65 MHz
    C10 H9 N 28.8 mg : 0.5 ml CDCl3
    6-methylquinoline
    ChemicalStructure
        Assign.     Shift(ppm)
    A 8.843 B 8.044 C 8.004 D 7.55 E 7.54 F 7.339 G 2.523 J(A,F)=4.3HZ. J(A,B)=1.7HZ. J(B,F)=8.2HZ. J(E,D)=2.0HZ. J(C,E)=8.4HZ. D AND E WERE CONFIRMED BY LAOCN PROGRAM.

         Hz     ppm     Int.
    

       3537.11   8.851    129
       3535.40   8.847    139
       3532.84   8.840    143
       3531.13   8.836    144
       3219.60   8.057    111
       3218.75   8.054    114
       3218.14   8.053    112
       3211.43   8.036    123
       3210.45   8.034    121
       3209.84   8.032    121
       3203.13   8.015    174
       3194.70   7.994    185
       3019.53   7.556    230
       3018.55   7.553    266
       3017.70   7.551    321
       3009.03   7.530    148
       3007.08   7.525    115
       2939.21   7.355    186
       2934.94   7.344    183
       2930.91   7.334    176
       2926.76   7.324    173
       1008.54   2.524   1000
    

in CDCl3



liquid film