-
MS-NW-0402 N-phenyldibenzylamine C20H19N (Mass of molecular ion: 273)
Source Temperature: 180 °C Sample Temperature: 140 °C Direct, 75 eV
39.0 2.9 51.0 5.0 63.0 1.4 65.0 9.3 77.0 16.5 78.0 2.0 89.0 1.6 91.0 100.0 92.0 10.8 104.0 8.4 105.0 2.5 165.0 1.0 179.0 1.0 180.0 6.9 181.0 14.6 182.0 21.5 183.0 3.3 194.0 3.1 196.0 23.0 197.0 3.6 272.0 4.1 273.0 54.3 274.0 12.1 275.0 1.2
90 MHz in CDCl3
-
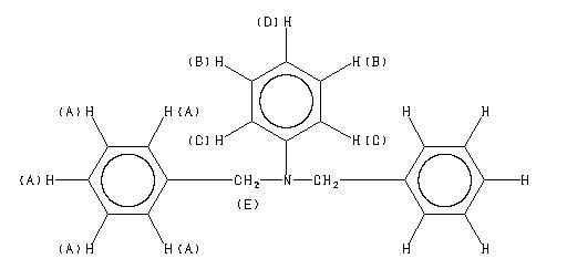
1H NMR 89.56 MHz C20 H19 N 0.047 g : 0.5 ml CDCl3 N-phenyldibenzylamine 
Assign. Shift(ppm)
A 7.23 B 7.13 C 6.76 D 6.66 E 4.593
Hz ppm Int.651.56 7.276 50 650.81 7.267 73 649.50 7.253 146 647.81 7.234 1000 643.19 7.182 54 641.88 7.168 66 640.31 7.150 121 639.13 7.137 70 638.56 7.130 72 638.00 7.124 77 633.69 7.076 38 632.13 7.059 47 631.63 7.053 74 631.00 7.046 85 609.19 6.803 46 608.06 6.790 113 605.63 6.763 31 604.69 6.752 48 603.94 6.744 34 602.44 6.727 34 601.56 6.717 34 600.38 6.704 59 599.25 6.692 54 598.50 6.683 37 596.63 6.662 55 411.38 4.594 451
更多供应商





