-
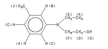
MS-IW-6283 2-(N-ethyl-m-toluidino)ethanol C11H17NO (Mass of molecular ion: 179)
Source Temperature: 200 °C Sample Temperature: 150 °C Reservoir, 75 eV
29.0 1.0 39.0 1.3 65.0 4.1 77.0 2.3 89.0 1.1 91.0 11.1 92.0 2.6 93.0 3.0 105.0 1.9 118.0 4.9 119.0 3.1 120.0 32.0 121.0 3.1 133.0 1.2 134.0 1.4 147.0 1.1 148.0 100.0 149.0 11.3 164.0 1.9 179.0 15.9 180.0 2.2
400 MHz in CDCl3
-
1H NMR 399.65 MHz C11 H17 N O 0.05 ml : 0.5 ml CDCl3 2-(n-ethyl-m-toluidino)ethanol 
Assign. Shift(ppm)
A 7.089 B 6.562 C 6.53 D 3.700 E 3.376 F 3.339 G 2.42 J 2.289 K 1.111
Hz ppm Int.2841.31 7.110 84 2833.50 7.090 168 2825.93 7.072 98 2622.56 6.563 391 2614.99 6.544 135 2611.45 6.535 190 2610.84 6.533 187 2603.15 6.514 145 1485.35 3.717 226 1479.25 3.702 468 1473.27 3.687 267 1355.71 3.393 249 1349.49 3.377 478 1343.51 3.362 249 1341.80 3.358 374 1334.72 3.340 344 1327.76 3.323 125 966.55 2.419 130 914.92 2.290 1000 451.17 1.129 394 444.09 1.112 752 437.13 1.094 390
更多供应商





