图谱信息 供应商 相关产品
网站主页CAS数据库列表 910-31-6更多图谱氯化胆固醇(910-31-6)核磁图(1HNMR)

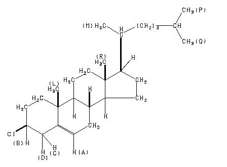
氯化胆固醇

产品名称 氯化胆固醇

CAS号910-31-6

分子式C27H45Cl

分子量405.1

展开


  • Mass

    MS-NW-2081          
    3beta-chloro-5-cholestene
    C27H45Cl            (Mass of molecular ion:    404)
    

       Source Temperature: 230 °C
       Sample Temperature: 150 °C
       Direct, 75 eV
    

          18.0       2.6
          27.0       5.3
          28.0       2.3
          29.0      14.1
          35.0       1.9
          36.0      21.6
          38.0       7.1
          39.0       4.1
          41.0      33.9
          42.0       3.0
          43.0      44.6
          44.0       1.2
          53.0       6.0
          54.0       1.0
          55.0      37.8
          56.0       3.2
          57.0      34.0
          58.0       1.5
          65.0       3.2
          66.0       1.4
          67.0      24.7
          68.0       3.3
          69.0      24.0
          70.0       2.0
          71.0      18.4
          72.0       1.0
          77.0       8.3
          78.0       2.8
          79.0      21.3
          80.0       4.3
          81.0      52.9
          82.0       6.5
          83.0      18.4
          84.0       1.5
          85.0       4.3
          91.0      25.8
          92.0       7.5
          93.0      28.3
          94.0       9.4
          95.0      38.3
          96.0       4.1
          97.0      11.2
          99.0       1.2
         103.0       2.0
         104.0       2.3
         105.0      30.9
         106.0      13.6
         107.0      33.5
         108.0      14.8
         109.0      23.5
         110.0       3.2
         111.0       8.0
         113.0       1.8
         115.0       3.7
         116.0       1.9
         117.0      10.1
         118.0       7.2
         119.0      17.3
         120.0      18.6
         121.0      30.3
         122.0       8.1
         123.0      10.8
         124.0       1.5
         125.0       2.9
         127.0       1.7
         128.0       3.8
         129.0       6.7
         130.0       3.7
         131.0      16.6
         132.0       5.0
         133.0      20.6
         134.0       8.1
         135.0      21.9
         136.0       5.2
         137.0       5.8
         138.0       1.3
         139.0       1.4
         141.0       2.5
         142.0       3.1
         143.0      14.9
         144.0       5.7
         145.0      41.0
         146.0      13.7
         147.0      39.4
         148.0      11.8
         149.0      13.8
         150.0       2.1
         151.0       4.5
         152.0       1.8
         153.0       1.3
         155.0       3.5
         156.0       4.7
         157.0       8.0
         158.0       9.3
         159.0      19.4
         160.0      16.6
         161.0      18.4
         162.0       5.6
         163.0      13.2
         164.0       2.0
         165.0       3.8
         167.0       1.3
         168.0       1.6
         169.0       5.5
         170.0       1.8
         171.0       6.2
         172.0       2.7
         173.0       8.6
         174.0       3.6
         175.0       4.5
         176.0       1.3
         177.0       3.4
         179.0       9.5
         180.0       2.3
         181.0       7.9
         182.0       2.5
         183.0       4.4
         184.0       1.3
         185.0       5.7
         186.0       2.0
         187.0       4.5
         188.0       1.7
         189.0       2.4
         191.0       4.2
         192.0       1.2
         193.0       4.6
         194.0       8.4
         195.0       5.6
         196.0      10.8
         197.0       4.8
         198.0       3.7
         199.0       7.2
         200.0       3.5
         201.0       7.5
         202.0       3.9
         203.0       1.5
         205.0       4.9
         206.0       9.9
         207.0       4.2
         208.0       1.0
         209.0       2.1
         210.0       1.6
         211.0       3.8
         212.0       2.0
         213.0      17.7
         214.0       5.6
         215.0       5.0
         216.0       2.2
         217.0       1.0
         219.0       3.0
         220.0       1.7
         221.0       1.4
         223.0       1.3
         226.0       1.0
         227.0       2.9
         228.0       4.9
         229.0       5.1
         230.0       1.2
         233.0       1.3
         235.0       3.0
         236.0       1.5
         237.0       2.5
         239.0       1.5
         241.0       2.4
         242.0       1.0
         245.0       2.9
         246.0       5.3
         247.0      36.6
         248.0       8.9
         249.0      25.7
         250.0      11.4
         251.0      11.4
         252.0       4.7
         253.0       5.4
         254.0       2.0
         255.0      34.1
         256.0       7.8
         257.0       5.6
         258.0       2.0
         259.0       2.9
         260.0      15.0
         261.0       6.4
         262.0       2.2
         263.0       2.4
         264.0       7.2
         265.0       3.6
         266.0       2.8
         267.0       1.4
         271.0       1.0
         273.0       1.3
         274.0       4.5
         275.0      20.6
         276.0       4.9
         277.0       2.3
         278.0       1.3
         279.0       1.4
         281.0       1.3
         283.0       7.2
         284.0       2.5
         285.0       1.1
         287.0       1.0
         290.0       1.1
         291.0      20.4
         292.0       4.7
         293.0       7.1
         294.0       1.5
         297.0       1.0
         301.0       8.4
         302.0       2.1
         313.0       1.1
         314.0       3.0
         326.0       2.0
         327.0       1.0
         351.0       2.0
         353.0      29.2
         354.0       8.5
         355.0       3.1
         364.0       1.0
         366.0       6.1
         367.0       2.9
         368.0     100.0
         369.0      30.2
         370.0       7.2
         371.0       1.2
         389.0      13.9
         390.0       4.0
         391.0       4.8
         392.0       1.2
         404.0      36.7
         405.0      11.0
         406.0      12.3
         407.0       3.3
    

400 MHz in CDCl3


  • 1H NMR 399.65 MHz
    C27 H45 Cl 0.040 g : 0.5 ml CDCl3
    3beta-chloro-5-cholestene
    ChemicalStructure
        Assign.     Shift(ppm)
    A 5.639 B 3.764 C *1 2.558 D *1 2.485 L 1.027 M 0.913 P *2 0.866 Q *2 0.862 R 0.674

         Hz     ppm     Int.
    

       2149.05   5.378     88
       2146.97   5.373     67
       2146.00   5.370     65
       2143.80   5.365     86
       1515.99   3.794     30
       1509.16   3.777     46
       1504.27   3.764     66
       1499.88   3.753     37
       1497.31   3.747     32
       1492.43   3.735     36
       1025.15   2.566     49
       1023.32   2.561     45
       1013.43   2.536     40
       1011.11   2.530     39
       1001.22   2.506     58
        999.02   2.500     64
        996.22   2.493     64
        994.02   2.488     61
        985.47   2.466     32
        797.73   1.997    104
        745.97   1.867    143
        584.96   1.464    124
        530.40   1.328    126
        447.14   1.119    188
        438.96   1.099    161
        429.20   1.074    133
        410.40   1.027   1000
        400.15   1.002    108
        396.73   0.993     86
        389.89   0.976     80
        374.02   0.936     76
        368.04   0.921    528
        361.45   0.905    465
        349.61   0.875    750
        347.78   0.871    749
        343.02   0.859    723
        341.19   0.854    716
        269.65   0.675    985
    

in CDCl3



CCl4 solution



KBr disc



nujol mull