-
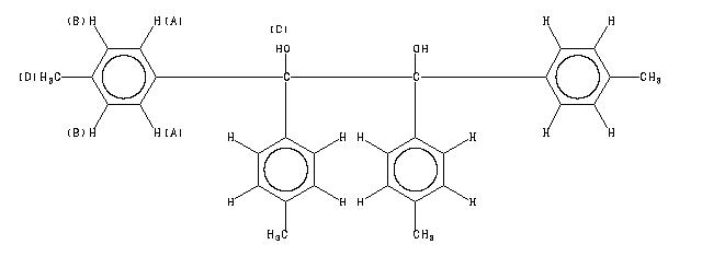
MS-IW-9078 1,1,2,2-tetra(p-tolyl)-1,2-ethanediol C30H30O2 (Mass of molecular ion: 422)
Source Temperature: 190 °C Sample Temperature: 160 °C Direct, 75 eV
18.0 2.4 39.0 3.2 41.0 1.2 51.0 1.6 63.0 2.4 65.0 11.3 77.0 1.9 89.0 4.3 90.0 4.3 91.0 32.4 92.0 4.6 93.0 1.5 104.0 1.2 105.0 2.1 119.0 100.0 120.0 9.1 121.0 2.0 152.0 1.1 165.0 5.1 166.0 2.8 167.0 1.1 178.0 2.1 179.0 2.2 180.0 1.4 181.0 9.1 182.0 1.9 194.0 1.4 195.0 16.2 196.0 7.1 197.0 2.5 209.0 1.1 210.0 28.1 211.0 13.8 212.0 3.9 285.0 1.7 388.0 3.0 389.0 1.0
400 MHz in CDCl3
-
1H NMR 399.65 MHz C30 H30 O2 0.040 g : 0.5 ml CDCl3 1,1,2,2-tetra(p-tolyl)-1,2-ethanediol 
Assign. Shift(ppm)
A 7.150 B 6.956 C 2.96 D 2.261
Hz ppm Int.2864.14 7.167 67 2862.06 7.162 356 2860.23 7.157 136 2855.59 7.146 158 2853.76 7.141 437 2851.56 7.136 77 2783.94 6.966 315 2783.45 6.965 343 2775.39 6.945 291 2774.78 6.944 253 1181.40 2.957 113 903.69 2.262 1000
更多供应商





