图谱信息 供应商 相关产品
网站主页CAS数据库列表 915-67-3更多图谱酸性红 27(915-67-3)红外图谱(IR2)

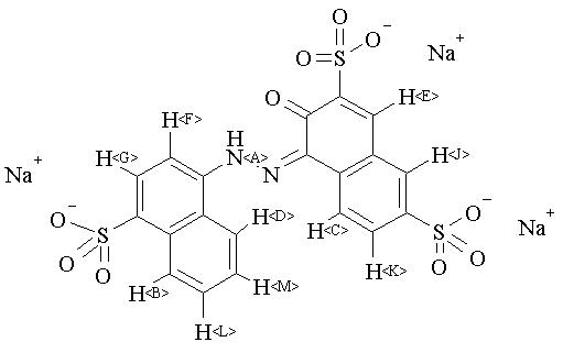
酸性红 27

产品名称 酸性红 27

CAS号915-67-3

分子式C20H11N2Na3O10S3

分子量604.47

展开

400 MHz in DMSO-d6


  • 1H NMR 399.65 MHz
    C20 H11 N2 Na3 O10 S3 saturated in DMSO-d6
    amaranth
    ChemicalStructure
        Assign.     Shift(ppm)
    A 17.4 B 9.013 C 8.563 D 8.37 E 8.366 F *1 8.254 G *1 8.153 J 8.024 K 7.879 L 7.773 M 7.711 ASSIGNED BY H-H COSY

         Hz     ppm     Int.
    

       6979.98  17.466     40
       6974.12  17.451    459
       6969.48  17.439     52
       6968.50  17.437     38
       3610.11   9.034     32
       3606.45   9.025    333
       3603.27   9.017     45
       3602.78   9.015     38
       3602.29   9.014     40
       3601.81   9.013     40
       3598.63   9.005    326
       3597.90   9.003    354
       3426.76   8.575    399
       3422.85   8.565     49
       3422.12   8.563     49
       3421.39   8.561     54
       3418.21   8.554    426
       3415.28   8.546     45
       3355.22   8.396     34
       3354.49   8.394     38
       3350.34   8.384    290
       3347.41   8.376    129
       3343.75   8.367   1000
       3337.16   8.351     47
       3336.18   8.348     38
       3307.62   8.277     32
       3303.71   8.267    379
       3299.80   8.257     49
       3299.32   8.256     56
       3295.65   8.247    549
       3292.48   8.239     50
       3291.99   8.238     43
       3291.26   8.236     34
       3262.21   8.163    687
       3258.30   8.153     43
       3257.32   8.151     45
       3256.59   8.149     45
       3254.15   8.143    518
       3251.71   8.137     41
       3207.52   8.026    529
       3206.30   8.023    541
       3154.05   7.893    329
       3152.34   7.888    304
       3149.66   7.882     49
       3148.93   7.880     47
       3145.51   7.871    313
       3144.04   7.867    306
       3115.72   7.797    124
       3114.50   7.794    140
       3112.06   7.787     49
       3108.64   7.779    225
       3107.67   7.776    281
       3104.00   7.767     56
       3102.78   7.764     52
       3100.59   7.759    203
       3099.37   7.756    200
       3096.44   7.748     32
       3089.11   7.730    230
       3088.13   7.728    243
       3085.45   7.721     43
       3084.23   7.718     56
       3080.81   7.709    273
       3079.83   7.707    246
       3077.15   7.700     47
       3076.66   7.699     43
       3076.17   7.698     40
       3073.97   7.692    149
       3073.00   7.690    149
    

KBr disc



nujol mull