-
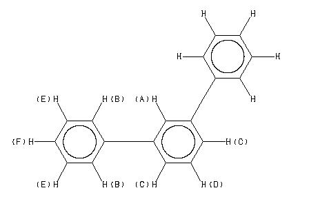
MS-NW-8176 m-terphenyl C18H14 (Mass of molecular ion: 230)
Source Temperature: 160 °C Sample Temperature: 120 °C Direct, 75 eV
51.0 1.4 63.0 1.1 75.0 1.0 76.0 1.5 77.0 1.1 88.0 1.7 89.0 1.2 94.5 1.0 100.0 1.2 101.0 4.5 102.0 1.2 107.5 1.3 113.0 3.3 113.5 1.1 114.0 2.6 115.0 9.1 115.5 1.5 128.0 1.6 151.0 2.0 152.0 3.8 153.0 1.7 189.0 1.2 202.0 4.2 203.0 1.6 215.0 3.5 226.0 5.2 227.0 4.7 228.0 11.8 229.0 10.4 230.0 100.0 231.0 19.6 232.0 1.7
400 MHz in CDCl3
90 MHz in CDCl3
-
1H NMR 399.65 MHz C18 H14 16.4 mg : 0.5 ml CDCl3 m-terphenyl 
Assign. Shift(ppm)
A 7.808 B 7.647 C 7.572 D 7.512 E 7.458 F 7.370 J(A,C)=2.1HZ. J(A,D)=0.7HZ.
Hz ppm Int.3122.68 7.814 180 3122.19 7.813 185 3120.85 7.809 358 3120.36 7.808 329 3119.02 7.805 223 3118.53 7.804 184 3068.97 7.680 30 3068.12 7.678 34 3066.04 7.672 41 3065.43 7.671 44 3061.52 7.661 655 3060.18 7.658 862 3058.11 7.652 331 3053.96 7.642 441 3053.10 7.640 930 3052.37 7.638 716 3051.88 7.637 779 3050.90 7.634 240 3049.80 7.632 226 3033.08 7.590 203 3031.37 7.586 351 3029.54 7.581 227 3028.08 7.577 42 3027.71 7.576 42 3025.02 7.570 441 3024.41 7.568 449 3023.19 7.565 456 3022.58 7.564 419 3008.18 7.528 297 3007.69 7.526 261 3001.71 7.511 194 3001.22 7.510 177 2999.51 7.506 145 2998.90 7.504 126 2993.04 7.490 124 2992.55 7.488 113 2990.36 7.483 152 2989.38 7.480 354 2988.53 7.478 491 2986.82 7.474 209 2981.32 7.460 1000 2980.10 7.457 523 2975.10 7.445 305 2973.51 7.441 567 2971.56 7.436 130 2952.51 7.388 223 2951.17 7.385 404 2949.95 7.382 227 2945.80 7.371 178 2943.85 7.367 433 2941.77 7.361 152 2937.74 7.351 126 2936.52 7.348 192 2935.18 7.345 103 2934.20 7.342 34
-
1H NMR 89.56 MHz C18 H14 0.016 g : 0.5 ml CDCl3 m-terphenyl 
Assign. Shift(ppm)
A 7.80 B 7.64 C 7.58 to 7.23
Hz ppm Int.700.88 7.826 115 699.63 7.812 206 698.94 7.805 184 698.38 7.798 269 697.38 7.787 187 696.63 7.779 173 690.06 7.706 278 687.88 7.681 306 686.50 7.666 736 685.56 7.655 222 684.56 7.644 238 684.00 7.638 282 682.69 7.623 258 681.94 7.615 755 680.06 7.594 899 678.06 7.572 264 676.81 7.558 690 676.44 7.553 670 675.13 7.539 1000 674.25 7.529 508 673.56 7.521 306 672.94 7.514 389 671.88 7.503 248 671.31 7.496 322 668.63 7.466 615 667.75 7.456 669 665.94 7.436 322 664.50 7.420 393 662.00 7.392 866 660.56 7.376 799 657.13 7.338 199 655.63 7.321 146
更多供应商









