图谱信息 供应商 相关产品
网站主页CAS数据库列表 92-44-4更多图谱2,3-二羟基萘(92-44-4)核磁图(1HNMR)

2,3-二羟基萘

产品名称 2,3-二羟基萘

CAS号92-44-4

分子式C10H8O2

分子量160.17

展开


  • Mass

    MS-NW-0102          
    2,3-naphthalenediol
    C10H8O2             (Mass of molecular ion:    160)
    

       Source Temperature: 210 °C
       Sample Temperature:   0 °C
       Direct, 75 eV
    

          39.0       1.8
          50.0       2.1
          51.0       4.3
          57.0       1.3
          62.0       2.4
          63.0       4.1
          64.0       1.0
          74.0       1.8
          75.0       2.4
          76.0       2.0
          77.0       7.2
          80.0       3.2
          86.0       1.1
          87.0       1.9
          88.0       4.2
         102.0       4.0
         103.0       3.3
         104.0       1.1
         113.0       6.6
         114.0      39.3
         115.0       5.1
         131.0      11.4
         132.0       1.7
         142.0       1.4
         159.0       1.7
         160.0     100.0
         161.0      11.1
         162.0       1.0
    

90 MHz in DMSO-d6


  • 1H NMR 89.56 MHz
    C10 H8 O2 0.049 g : 0.5 ml DMSO-d6
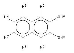
    2,3-naphthalenediol
    ChemicalStructure
        Assign.     Shift(ppm)
    A 9.5 B 7.58 C 7.18 D 7.149

         Hz     ppm     Int.
    

        849.24   9.483     45
        686.87   7.670     26
        686.50   7.666     25
        684.01   7.638    190
        680.71   7.601    189
        677.93   7.570    206
        674.63   7.533    292
        671.56   7.499     60
        651.20   7.272     68
        647.75   7.233    382
        644.53   7.197    236
        640.28   7.150   1000
        638.31   7.128    319
    

in DMSO-d6



KBr disc



nujol mull