图谱信息 供应商 相关产品
网站主页CAS数据库列表 92-70-6更多图谱2-羟基-3-萘甲酸(92-70-6)核磁图(13CNMR)

2-羟基-3-萘甲酸

产品名称 2-羟基-3-萘甲酸

CAS号92-70-6

分子式C11H8O3

分子量188.18

展开


  • Mass

    MS-NW-0326          
    3-hydroxy-2-naphthoic acid
    C11H8O3             (Mass of molecular ion:    188)
    

       Source Temperature: 170 °C
       Sample Temperature: 120 °C
       Direct, 75 eV
    

          18.0       1.0
          38.0       1.0
          39.0       3.4
          50.0       2.1
          51.0       2.7
          53.0       1.3
          56.5       1.7
          57.0       8.2
          57.5       2.3
          61.0       1.3
          62.0       4.4
          63.0       8.3
          64.0       1.9
          65.0       1.8
          71.0      21.3
          71.5       2.7
          74.0       2.4
          75.0       2.3
          77.0       2.5
          85.0       7.9
          85.5       1.7
          86.0       2.4
          87.0       3.8
          88.0       6.2
          89.0       3.3
          94.0       1.8
         103.0       1.9
         107.0       2.3
         113.0       9.6
         114.0      40.6
         115.0      12.5
         116.0       1.2
         142.0      61.3
         143.0       7.3
         144.0       2.8
         170.0     100.0
         171.0      13.4
         172.0       1.3
         188.0      50.0
         189.0       6.1
    

90 MHz in DMSO-d6


  • 1H NMR 89.56 MHz
    C11 H8 O3 0.040 g : 0.5 ml DMSO-d6
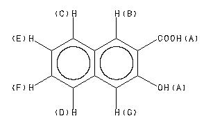
    3-hydroxy-2-naphthoic acid
    ChemicalStructure
        Assign.     Shift(ppm)
    A 11.6 B 8.589 C *1 7.984 D *1 7.780 E *2 7.55 F *2 7.36 G 7.355

         Hz     ppm     Int.
    

       1039.23  11.604     68
        769.30   8.590    782
        719.91   8.039    210
        719.23   8.031    201
        711.96   7.950    277
        702.05   7.839    176
        693.85   7.748    352
        684.45   7.643    156
        683.00   7.627    179
        677.78   7.568    308
        676.42   7.553    262
        674.88   7.536     97
        669.84   7.480    198
        667.27   7.451    284
        665.48   7.431    252
        658.81   7.357   1000
        652.58   7.287    108
        651.12   7.271     97
    

in DMSO-d6



KBr disc



nujol mull