图谱信息 供应商 相关产品
网站主页CAS数据库列表 92-71-7更多图谱2,5-二苯基恶唑(92-71-7)红外图谱(IR1)

2,5-二苯基恶唑

产品名称 2,5-二苯基恶唑

CAS号92-71-7

分子式C15H11NO

分子量221.25

展开


  • Mass

    MS-NW-8571          
    2,5-diphenyloxazole
    C15H11NO            (Mass of molecular ion:    221)
    

       Source Temperature: 140 °C
       Sample Temperature: 120 °C
       Direct, 75 eV
    

          39.0       3.2
          50.0       2.0
          51.0       6.0
          62.0       1.8
          63.0       6.1
          64.0       1.5
          76.0       1.2
          77.0      14.9
          78.0       1.0
          83.0       2.4
          89.0      16.0
          90.0       7.5
          96.5       1.6
         105.0       4.7
         110.5       3.6
         116.0       8.7
         117.0       1.0
         164.0       1.2
         165.0      29.9
         166.0      22.7
         167.0       3.1
         192.0       2.8
         193.0       8.4
         194.0       2.3
         220.0       4.3
         221.0     100.0
         222.0      16.7
         223.0       1.5
    

400 MHz in CDCl3


  • 1H NMR 399.65 MHz
    C15 H11 N O 0.035 g : 0.5 ml CDCl3
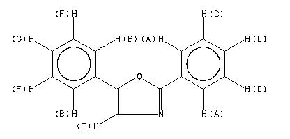
    2,5-diphenyloxazole
    ChemicalStructure
        Assign.     Shift(ppm)
    A 8.108 B 7.711 C 7.48 D 7.46 E 7.44 F 7.43 G 7.331 ASSIGNED BY H-H AND C-H COSY.

         Hz     ppm     Int.
    

       3245.24   8.121    395
       3243.29   8.116    301
       3241.21   8.111    143
       3239.38   8.106    157
       3238.65   8.104    200
       3237.06   8.100    428
       3235.47   8.096    407
       3232.79   8.090     47
       3086.91   7.725    344
       3085.57   7.721    437
       3083.62   7.716    124
       3079.47   7.706    235
       3078.49   7.703    457
       3077.39   7.701    380
       3075.44   7.696     66
       2997.07   7.500     94
       2995.36   7.495     65
       2993.77   7.491    125
       2992.31   7.488     83
       2991.09   7.485     79
       2990.11   7.482     82
       2988.65   7.479    363
       2988.04   7.477    368
       2986.57   7.473    208
       2984.50   7.468    152
       2982.91   7.464    374
       2980.83   7.459    805
       2979.00   7.455    320
       2978.15   7.452    340
       2975.46   7.446    220
       2974.00   7.442    212
       2972.53   7.438   1000
       2970.09   7.432    543
       2968.87   7.429    314
       2965.94   7.422     56
       2963.75   7.416    155
       2962.28   7.413    310
       2937.01   7.349    111
       2935.79   7.346    200
       2934.57   7.343    115
       2930.30   7.333     90
       2928.34   7.328    252
       2926.39   7.323     74
       2922.12   7.312     61
       2920.90   7.309    102
       2919.68   7.306     56
    

in CDCl3



KBr disc



nujol mull