图谱信息 供应商 相关产品
网站主页CAS数据库列表 92-83-1更多图谱氧杂蒽(92-83-1)质谱(MS)

氧杂蒽

产品名称 氧杂蒽

CAS号92-83-1

分子式C13H10O

分子量182.22

展开


  • Mass

    MS-NW-0107          
    xanthene
    C13H10O             (Mass of molecular ion:    182)
    

       Source Temperature: 120 °C
       Sample Temperature:   0 °C
       Direct, 75 eV
    

          39.0       1.0
          51.0       1.7
          63.0       2.2
          64.0       1.1
          75.0       1.1
          76.0       6.2
          76.5       1.0
          77.0       1.4
          90.5       3.6
          91.0       4.8
         126.0       1.2
         127.0       1.6
         150.0       1.1
         151.0       3.0
         152.0      10.9
         153.0       2.4
         180.0       1.1
         181.0     100.0
         182.0      55.2
         183.0       7.4
         184.0       1.2
    

90 MHz in CDCl3

400 MHz in CDCl3


  • 1H NMR 89.56 MHz
    C13 H10 O 0.020 g : 0.5 ml CDCl3
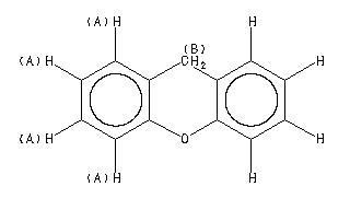
    xanthene
    ChemicalStructure
        Assign.     Shift(ppm)
    A 7.32 to 6.89 B 4.031

         Hz     ppm     Int.
    

        646.19   7.216     76
        643.88   7.190    246
        643.06   7.181    176
        642.50   7.174    116
        641.56   7.164    128
        640.69   7.154    102
        639.81   7.144    102
        637.81   7.122    733
        637.13   7.115    772
        633.19   7.071   1000
        632.38   7.061    736
        630.50   7.040    130
        628.00   7.013    209
        625.94   6.990    318
        623.69   6.964     82
        621.56   6.941     80
        619.81   6.921     70
        617.88   6.900     79
        361.06   4.032    487
    


  • 1H NMR 399.65 MHz
    C13 H10 O 20.4 mg : 0.5 ml CDCl3
    xanthene
    ChemicalStructure
        Assign.     Shift(ppm)
    A 7.18 B 7.16 C 7.04 D 7.02 E 4.038

         Hz     ppm     Int.
    

       2889.04   7.229    433
       2881.47   7.210    123
       2880.74   7.209    241
       2879.76   7.206    205
       2879.03   7.204    304
       2878.30   7.203    159
       2875.98   7.197     37
       2874.27   7.192    161
       2873.54   7.191    335
       2872.56   7.188    502
       2871.83   7.186    587
       2870.85   7.184    487
       2870.12   7.182    248
       2865.48   7.170    484
       2864.50   7.168    703
       2863.77   7.166    802
       2863.04   7.164    614
       2862.30   7.163    418
       2861.82   7.161    280
       2857.91   7.152    267
       2856.93   7.149    545
       2856.45   7.148    646
       2855.22   7.145    519
       2854.74   7.144    416
       2854.25   7.142    285
       2853.76   7.141    217
       2849.12   7.130     34
       2819.09   7.054    549
       2818.73   7.053    612
       2817.87   7.051    815
       2813.84   7.041     61
       2811.16   7.035    923
       2810.55   7.033    717
       2809.94   7.032    892
       2804.08   7.017    716
       2802.73   7.013    591
       2796.51   6.998    384
       2795.17   6.995    346
       1613.89   4.039   1000
    

in CDCl3



KBr disc



nujol mull