图谱信息 供应商 相关产品
网站主页CAS数据库列表 929-79-3更多图谱2t-Hexadecenoic acid(929-79-3)核磁图(13CNMR)

2t-Hexadecenoic acid

产品名称 2t-Hexadecenoic acid

CAS号929-79-3

分子式C16H30O2

分子量254.41

展开



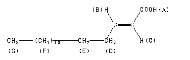
  •     Assign.     Shift(ppm)
    A 11. B 7.10 C 5.82 D 2.23 E 1.46 F 1.26 G 0.88 J(B,C)=15.7HZ. J(B,D)=6.9HZ.
    Spectral Code: 1H NMR : 90 MHz in CDCl3



  •        ppm   Int.  Assign.
    172.41 439 1 152.45 312 2 120.74 249 3 32.37 222 4 31.99 308 5 29.72 1000 6 29.60 425 7 29.43 561 8 29.21 281 9 27.96 231 10 22.74 267 11 14.14 235 12
    Spectral Code: 13C NMR : in CDCl3


  • Spectral Code: IR : KBr disc