图谱信息 供应商 相关产品
网站主页CAS数据库列表 93-18-5更多图谱2-萘乙醚(93-18-5)核磁图(13CNMR)

2-萘乙醚

产品名称 2-萘乙醚

CAS号93-18-5

分子式C12H12O

分子量172.22

展开



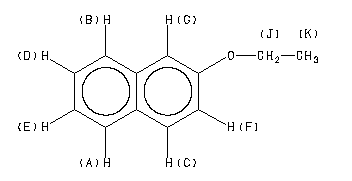
  •     Assign.     Shift(ppm)
    A 7.75 B 7.72 C 7.72 D *1 7.41 E *1 7.38 F 7.13 G 7.07 J 4.097 K 1.443
    Spectral Code: 1H NMR : 90 MHz in CDCl3



  •        ppm   Int.  Assign.
    156.94 473 1 134.65 473 2 129.29 571 3 * 128.93 544 4 * 127.60 577 5 126.68 533 6 # 126.24 615 7 # 123.44 599 8 118.97 593 9 106.59 621 10 63.31 1000 11 14.73 709 12
    Spectral Code: 13C NMR : in CDCl3


  • Spectral Code: IR : nujol mull


  • Spectral Code: Raman : 4880 A,200 M,powder