图谱信息 供应商 相关产品
网站主页CAS数据库列表 93-69-6更多图谱1-邻甲苯双胍(93-69-6)红外图谱(IR1)

1-邻甲苯双胍

产品名称 1-邻甲苯双胍

CAS号93-69-6

分子式C9H13N5

分子量191.23

展开



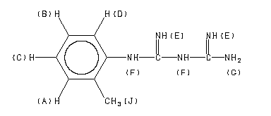
  •     Assign.     Shift(ppm)
    A 7.114 B 7.051 C 6.802 D 6.741 E *1 6. F *1 4.78 G *1 3.46 J 2.080
    Spectral Code: 1H NMR : 400 MHz in DMSO-d6



  •        ppm   Int.  Assign.
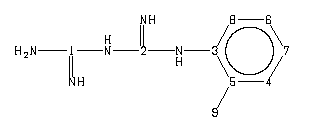
    159.39 764 1 156.88 408 2 149.13 110 3 129.97 1000 4 129.95 690 5 126.30 925 6 122.27 628 7 * 120.91 527 8 * 17.96 895 9
    Spectral Code: 13C NMR : in DMSO-d6


  • Spectral Code: IR : KBr disc