图谱信息 供应商 相关产品
网站主页CAS数据库列表 931-35-1更多图谱2 - 乙基 - 4 - 甲基咪唑(931-35-1)红外图谱(IR1)

2 - 乙基 - 4 - 甲基咪唑

产品名称 2 - 乙基 - 4 - 甲基咪唑

CAS号931-35-1

分子式C6H12N2

分子量112.17

展开


  • Mass

    MS-NW-1231          
    2-ethyl-4-methyl-2-imidazoline
    C6H12N2             (Mass of molecular ion:    112)
    

       Source Temperature: 260 °C
       Sample Temperature: 180 °C
       Reservoir, 75 eV
    

          15.0       7.4
          18.0       2.7
          26.0       5.0
          27.0      20.1
          28.0      33.8
          29.0      21.7
          30.0       8.4
          32.0       1.1
          38.0       1.2
          39.0       8.6
          40.0       3.7
          41.0      24.1
          42.0      21.8
          43.0       6.0
          44.0      33.3
          45.0       1.7
          48.0       4.1
          48.5       1.0
          52.0       2.6
          53.0       1.6
          54.0      28.8
          55.0       7.4
          56.0      37.9
          57.0       9.9
          58.0       3.9
          67.0       1.9
          68.0      24.5
          69.0     100.0
          70.0      12.1
          71.0       1.1
          72.0       6.3
          73.0      17.3
          81.0       1.8
          82.0      29.0
          83.0      55.8
          84.0       4.4
          86.0       1.3
          95.0       5.5
          96.0       3.4
          97.0      69.6
          98.0       5.1
          99.0       1.3
         100.0       1.1
         101.0       1.2
         109.0       3.6
         110.0       2.4
         111.0      16.3
         112.0      58.8
         113.0       4.6
         123.0       1.8
         125.0       3.0
         137.0       2.2
         138.0       1.4
         139.0       7.5
         140.0       1.4
         152.0       1.8
         154.0       3.1
    

90 MHz in CDCl3


  • 1H NMR 89.56 MHz
    C6 H12 N2 0.04 ml : 0.5 ml CDCl3
    2-ethyl-4-methyl-2-imidazoline
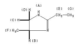
    ChemicalStructure
        Assign.     Shift(ppm)
    A 4.2 B 3.94 C *1 3.69 D *1 3.15 E 2.23 F 1.19 G 1.17

         Hz     ppm     Int.
    

        371.06   4.144     30
        370.50   4.137     31
        370.19   4.134     30
        364.31   4.068     35
        358.13   3.999     34
        357.38   3.991     34
        354.88   3.963     46
        348.69   3.894     64
        348.06   3.887     67
        342.31   3.823     83
        341.38   3.812     87
        340.63   3.804     83
        338.69   3.782     40
        338.00   3.775     37
        331.31   3.700     77
        330.50   3.691    132
        329.75   3.682     75
        321.94   3.595     38
        321.13   3.586     75
        320.31   3.577     44
        290.25   3.241     71
        284.00   3.172     47
        283.31   3.164     87
        282.56   3.155     52
        280.31   3.130     44
        279.56   3.122     70
        278.88   3.114     43
        273.25   3.052     38
        272.56   3.044     41
        213.19   2.381     36
        212.50   2.373     37
        211.69   2.364     49
        211.00   2.356     41
        205.69   2.297    119
        204.19   2.280    151
        199.19   2.225     69
        198.19   2.213    151
        197.50   2.206    125
        196.69   2.197    187
        196.00   2.189    174
        194.44   2.172     54
        193.44   2.160     36
        193.25   2.158     36
        191.38   2.137     46
        190.56   2.128     58
        189.75   2.119     61
        189.06   2.111     82
        188.44   2.105     63
        112.06   1.252    411
        111.63   1.247    354
        109.50   1.223    746
        104.81   1.171   1000
        104.06   1.162    852
        103.38   1.155    943
         99.75   1.114     57
         98.63   1.102     36
         97.50   1.089    173
         96.94   1.083    294
         96.25   1.075    228
         93.75   1.047     33
    

CCl4 solution



liquid film