图谱信息 供应商 相关产品
网站主页CAS数据库列表 934-32-7更多图谱2-氨基苯并咪唑(934-32-7)红外图谱(IR1)

2-氨基苯并咪唑

产品名称 2-氨基苯并咪唑

CAS号934-32-7

分子式C7H7N3

分子量133.15

展开


  • Mass

    MS-NW-2238          
    2-aminobenzimidazole
    C7H7N3              (Mass of molecular ion:    133)
    

       Source Temperature: 210 °C
       Sample Temperature: 120 °C
       Direct, 75 eV
    

          18.0       4.0
          27.0       1.1
          28.0       3.1
          29.0       1.6
          38.0       1.4
          39.0       1.8
          43.0       2.0
          50.0       1.2
          51.0       3.7
          52.0       4.3
          53.0       2.1
          63.0       3.3
          64.0       3.1
          65.0       1.6
          66.5       4.3
          77.0       1.5
          78.0       4.4
          79.0       8.6
          80.0       1.7
          90.0       2.8
          91.0       2.1
         105.0      17.9
         106.0      12.9
         107.0       1.4
         132.0       4.6
         133.0     100.0
         134.0       8.8
    

400 MHz in DMSO-d6


  • 1H NMR 399.65 MHz
    C7 H7 N3 0.038 g : 0.5 ml DMSO-d6
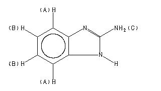
    2-aminobenzimidazole
    ChemicalStructure
        Assign.     Shift(ppm)
    A 7.116 B 6.862 C 6.26 broad signal at lower field.

         Hz     ppm     Int.
    

       2853.55   7.141     58
       2852.33   7.138     84
       2848.82   7.129    858
       2845.61   7.121    805
       2843.02   7.114    768
       2839.81   7.106   1000
       2836.15   7.097    111
       2835.24   7.095    100
       2751.46   6.885     85
       2750.40   6.883    115
       2746.73   6.873    955
       2743.53   6.865    729
       2740.94   6.859    751
       2737.73   6.851    830
       2734.22   6.842     96
       2733.00   6.839     78
       2502.29   6.262    291
    

in DMSO-d6



KBr disc



nujol mull