图谱信息 供应商 相关产品
网站主页CAS数据库列表 939-26-4更多图谱2-溴甲基萘(939-26-4)红外图谱(IR2)

2-溴甲基萘

产品名称 2-溴甲基萘

CAS号939-26-4

分子式C11H9Br

分子量221.09

展开


  • Mass

    MS-IW-8269          
    2-(bromomethyl)naphthalene
    C11H9Br             (Mass of molecular ion:    220)
    

       Source Temperature: 180 °C
       Sample Temperature: 150 °C
       Direct, 75 eV
    

          39.0       2.0
          50.0       1.9
          51.0       1.9
          57.5       6.5
          58.0       1.2
          62.0       2.2
          63.0       3.9
          65.0       1.3
          69.0       2.7
          69.5       5.1
          70.0       3.9
          70.5       9.8
          71.0       2.1
          74.0       1.7
          75.0       1.4
          86.0       1.2
          87.0       1.6
          88.0       1.3
          89.0       3.1
         110.0       2.2
         111.0       2.1
         113.0       2.1
         114.0       1.7
         115.0      14.0
         116.0       2.0
         139.0      11.0
         140.0       4.3
         141.0     100.0
         142.0      14.5
         143.0       1.1
         220.0      11.8
         221.0       2.1
         222.0      11.5
         223.0       1.7
    

400 MHz in CDCl3


  • 1H NMR 399.65 MHz
    C11 H9 Br 0.035 g : 0.5 ml CDCl3
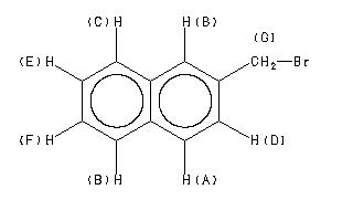
    2-(bromomethyl)naphthalene
    ChemicalStructure
        Assign.     Shift(ppm)
    A 7.81 B 7.80 C 7.78 D 7.49 E 7.48 F 7.46 G 4.641 ASSIGNED BY C-H COSY

         Hz     ppm     Int.
    

       3128.17   7.828     61
       3125.49   7.821    210
       3117.43   7.801    669
       3114.50   7.794    235
       3110.47   7.783     93
       3108.40   7.778    139
       3003.78   7.517     23
       3000.00   7.507     21
       2995.48   7.496    196
       2994.26   7.493    154
       2993.41   7.491    158
       2991.58   7.486    320
       2988.89   7.479    170
       2987.67   7.476    247
       2985.35   7.470    267
       2982.06   7.462    308
       2979.00   7.455     36
       2977.78   7.451     46
       2975.10   7.445     21
       1854.74   4.641   1000
    

in CDCl3



KBr disc



nujol mull