图谱信息 供应商 相关产品
网站主页CAS数据库列表 939-58-2更多图谱(E)-3-(2-氯苯基)丙烯酸(939-58-2)核磁图(1HNMR)

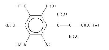
(E)-3-(2-氯苯基)丙烯酸

产品名称 (E)-3-(2-氯苯基)丙烯酸

CAS号939-58-2

分子式C9H7ClO2

分子量182.6

展开

400 MHz in DMSO-d6


  • 1H NMR 399.65 MHz
    C9 H7 Cl O2 0.034 g : 0.5 ml DMSO-d6
    trans-2-chlorocinnamic acid
    ChemicalStructure
        Assign.     Shift(ppm)
    A 12.70 B 7.938 C 7.908 D 7.551 E 7.453 F 7.413 G 6.631 J(C,G)=15.8HZ

         Hz     ppm     Int.
    

       5074.78  12.699     89
       3177.70   7.952    414
       3176.20   7.948    422
       3170.22   7.933    533
       3167.65   7.927   1000
       3157.61   7.901     40
       3151.41   7.886    783
       3023.42   7.566    403
       3021.92   7.562    456
       3015.30   7.545    584
       3014.23   7.543    641
       2988.16   7.477    203
       2986.45   7.473    236
       2980.89   7.459    476
       2979.18   7.455    455
       2973.20   7.440    371
       2971.28   7.435    364
       2969.35   7.430    400
       2968.07   7.427    397
       2961.66   7.411    458
       2960.59   7.408    459
       2956.75   7.399     71
       2954.18   7.392    185
       2658.02   6.651    905
       2642.20   6.612    848
    

in DMSO-d6