图谱信息 供应商 相关产品
网站主页CAS数据库列表 94-02-0更多图谱苯甲酰乙酸乙酯(94-02-0)核磁图(1HNMR)

苯甲酰乙酸乙酯

产品名称 苯甲酰乙酸乙酯

CAS号94-02-0

分子式C11H12O3

分子量192.21

展开


  • Mass

    MS-IW-5623          
    ethyl benzoylacetate
    C11H12O3            (Mass of molecular ion:    192)
    

       Source Temperature: 220 °C
       Sample Temperature: 150 °C
       Reservoir, 75 eV
    

          27.0       1.3
          29.0       2.1
          31.0       1.4
          43.0       1.1
          45.0       1.0
          50.0       1.6
          51.0       5.7
          65.0       1.0
          69.0       2.9
          76.0       1.1
          77.0      23.4
          78.0       2.5
          91.0       1.6
         105.0     100.0
         106.0       8.0
         120.0       1.9
         146.0       3.9
         147.0       3.9
         192.0       7.0
    

90 MHz in CDCl3


  • 1H NMR 89.56 MHz
    C11 H12 O3 0.04 ml : 0.5 ml CDCl3
    ethyl benzoylacetate
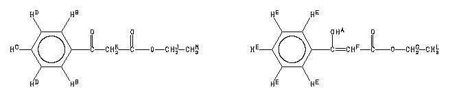
    ChemicalStructure
        Assign.     Shift(ppm)
    A 12.61 B 7.95 C 7.50 D 7.50 E 8.06 to 7.32 F 5.662 G 4.256 J 4.205 K 3.981 L 1.283 M 1.251

         Hz     ppm     Int.
    

       1129.21  12.609     79
        715.72   7.992    142
        714.10   7.974    156
        712.65   7.958     76
        711.62   7.946     73
        710.17   7.930     76
        708.54   7.912    157
        708.12   7.907    159
        705.98   7.883    217
        704.70   7.869     59
        700.77   7.825     44
        698.55   7.800     41
        695.13   7.762     36
        694.27   7.753     35
        691.88   7.726     32
        690.94   7.715     49
        680.43   7.598     59
        679.32   7.586     79
        676.59   7.555     78
        675.65   7.545    140
        673.77   7.524    355
        671.46   7.498    185
        669.67   7.478    103
        667.70   7.456    127
        666.67   7.444    213
        666.16   7.439    196
        664.37   7.419    109
        661.98   7.392     65
        661.55   7.387     64
        660.44   7.375     80
        659.67   7.366     64
        657.36   7.340     50
        507.06   5.662    149
        386.66   4.318     97
        384.52   4.294     83
        379.48   4.238    318
        377.34   4.214    103
        372.30   4.157    338
        370.42   4.136     54
        365.30   4.079    117
        359.14   4.011     33
        356.15   3.977   1000
        125.01   1.396     81
        117.75   1.315    461
        115.27   1.288     47
        110.66   1.236    791
        108.44   1.211     66
        106.90   1.194     35
        103.48   1.156    318
        101.34   1.132     30
    

in CDCl3



liquid film