图谱信息 供应商 相关产品
网站主页CAS数据库列表 94-20-2更多图谱氯磺丙脲(94-20-2)核磁图(13CNMR)

氯磺丙脲

产品名称 氯磺丙脲

CAS号94-20-2

分子式C10H13ClN2O3S

分子量276.74

展开


  • Mass

    MS-IW-2146          
    1-(p-chlorophenylsulfonyl)-3-propylurea
    C10H13ClN2O3S       (Mass of molecular ion:    276)
    

       Source Temperature: 130 °C
       Sample Temperature: 130 °C
       Direct, 75 eV
    

          26.0       1.0
          27.0       5.1
          28.0       7.9
          29.0       5.0
          30.0      75.8
          31.0       1.6
          37.0       1.0
          38.0       1.9
          39.0       3.2
          41.0       6.6
          42.0       3.9
          43.0       9.2
          44.0       2.4
          50.0      13.3
          51.0       5.9
          56.0       7.6
          57.0       2.0
          58.0       8.3
          59.0       7.7
          61.0       1.7
          62.0       1.1
          63.0       2.7
          64.0       1.6
          73.0       3.7
          74.0       8.6
          75.0      36.9
          76.0       7.9
          77.0       1.4
          84.0       2.5
          85.0      29.3
          86.0       2.0
          87.0       1.6
          90.0       1.6
          99.0       3.6
         101.0       3.9
         110.0       1.1
         111.0     100.0
         112.0       8.2
         113.0      32.7
         114.0       2.6
         126.0       2.1
         127.0      16.6
         128.0      19.2
         129.0       6.4
         130.0       5.8
         131.0       1.2
         159.0       1.6
         175.0      83.3
         176.0       6.3
         177.0      30.7
         178.0       2.2
         179.0       1.4
         191.0       5.0
         193.0       2.0
         212.0       3.0
         214.0       1.0
         217.0      29.0
         218.0       2.8
         219.0      11.4
         220.0       1.0
         247.0       1.9
    

400 MHz in CDCl3


  • 1H NMR 399.65 MHz
    C10 H13 Cl N2 O3 S 0.044 g : 0.5 ml CDCl3
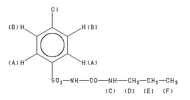
    1-(p-chlorophenylsulfonyl)-3-propylurea
    ChemicalStructure
        Assign.     Shift(ppm)
    A 7.863 B 7.486 C 6.54 D 3.171 E 1.499 F 0.872 J(C,D)=5.6HZ

         Hz     ppm     Int.
    

       3149.78   7.882     58
       3147.34   7.876    470
       3145.26   7.871    156
       3140.50   7.859    159
       3138.55   7.854    524
       3135.99   7.847     78
       2998.41   7.503     75
       2995.97   7.497    599
       2993.90   7.492    179
       2989.14   7.480    165
       2987.06   7.475    542
       2984.62   7.469     72
       2619.51   6.555     47
       2614.01   6.541     86
       2608.40   6.527     49
       1277.59   3.197     96
       1270.75   3.180    183
       1264.28   3.164    181
       1257.57   3.147    102
        610.23   1.527    133
        602.91   1.509    237
        595.83   1.491    239
        588.50   1.473    143
        581.18   1.455     35
        355.59   0.890    487
        348.27   0.872   1000
        343.63   0.860     33
        340.82   0.853    438
    

in CDCl3



KBr disc



nujol mull