图谱信息 供应商 相关产品
网站主页CAS数据库列表 94-36-0更多图谱过氧化二苯甲酰(94-36-0)红外图谱(IR2)

过氧化二苯甲酰

产品名称 过氧化二苯甲酰

CAS号94-36-0

分子式C14H10O4

分子量242.23

展开


  • Mass

    MS-NW-0403          
    dibenzoyl peroxide
    C14H10O4            (Mass of molecular ion:    242)
    

       Source Temperature: 160 °C
       Sample Temperature: 120 °C
       Direct, 75 eV
    

          39.0       1.1
          44.0       1.9
          50.0       3.3
          51.0      10.0
          76.0       1.1
          77.0      27.4
          78.0       2.3
         105.0     100.0
         106.0       7.7
         122.0       9.2
         198.0       1.0
         226.0       1.0
         242.0       5.1
    

90 MHz in CDCl3


  • 1H NMR 89.56 MHz
    C14 H10 O4 0.045 g : 0.5 ml CDCl3
    dibenzoyl peroxide
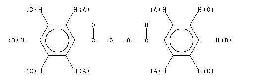
    ChemicalStructure
        Assign.     Shift(ppm)
    A 8.065 B 7.65 C 7.50 B AND C WERE CONFIRMED BY LAOCN PROGRAM.

         Hz     ppm     Int.
    

        730.50   8.157     63
        727.94   8.128    476
        726.44   8.112    603
        724.88   8.094    318
        722.25   8.065    246
        720.19   8.042    709
        718.25   8.020    761
        695.25   7.763     39
        693.81   7.747     82
        692.19   7.729     71
        690.94   7.715     59
        686.06   7.661    302
        683.31   7.630    166
        681.50   7.610    362
        679.75   7.590    653
        677.75   7.568   1000
        676.25   7.551    428
        673.13   7.516    266
        671.81   7.502    356
        670.38   7.486    660
        665.69   7.433    121
        664.13   7.416    188
        661.56   7.387    141
    

in CDCl3



KBr disc



nujol mull



4880 A,200 M,powder