图谱信息 供应商 相关产品
网站主页CAS数据库列表 94-59-7更多图谱黄樟素(94-59-7)Raman光谱

黄樟素

产品名称 黄樟素

CAS号94-59-7

分子式C10H10O2

分子量162.19

展开


  • Mass

    MS-NW-0809          
    safrole
    C10H10O2            (Mass of molecular ion:    162)
    

       Source Temperature: 230 °C
       Sample Temperature: 150 °C
       Reservoir, 75 eV
    

          27.0       2.6
          28.0       1.4
          38.0       2.1
          39.0       8.1
          41.0       1.6
          50.0       6.8
          51.0      19.1
          52.0       4.6
          53.0       2.5
          61.0       1.0
          62.0       3.5
          63.0       8.0
          64.0       1.7
          65.0       4.1
          66.0       1.1
          67.0       1.0
          74.0       2.6
          75.0       2.9
          76.0       4.4
          77.0      27.1
          78.0      15.6
          79.0       5.3
          80.0       1.4
          80.5       1.0
          81.0       1.3
          89.0       2.0
          91.0       6.3
          92.0       1.5
          93.0       1.2
         102.0       5.2
         103.0      27.1
         104.0      39.0
         105.0      10.2
         106.0       1.6
         115.0       1.6
         119.0       2.9
         121.0       1.3
         131.0      34.8
         132.0      12.9
         133.0       3.1
         134.0       1.6
         135.0      30.8
         136.0       2.8
         147.0       1.0
         161.0      26.3
         162.0     100.0
         163.0      11.1
         164.0       1.0
    

90 MHz in CDCl3


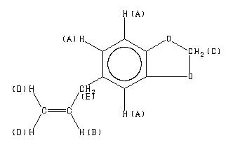
  • 1H NMR 89.56 MHz
    C10 H10 O2 0.04 ml : 0.5 ml CDCl3
    safrole
    ChemicalStructure
        Assign.     Shift(ppm)
    A 6.53 to 6.80 B 5.69 to 6.16 C 5.889 D 5.18 to 4.91 E 3.283

         Hz     ppm     Int.
    

        607.44   6.783     40
        606.56   6.773     39
        599.81   6.698    129
        599.00   6.689    225
        596.69   6.663    209
        596.13   6.657    218
        595.63   6.651    210
        593.94   6.632     59
        544.19   6.077     42
        534.81   5.972     34
        527.38   5.889   1000
        524.00   5.851     42
        517.38   5.777     62
        510.88   5.705     39
        461.44   5.153     41
        460.88   5.147     54
        459.38   5.130     99
        457.75   5.112     79
        456.38   5.096     97
        455.13   5.082     56
        454.31   5.073     35
        446.94   4.991     41
        445.63   4.976     57
        444.88   4.968     69
        444.00   4.958     74
        442.50   4.941     42
        442.00   4.936     39
        298.63   3.335     67
        297.38   3.321    115
        296.00   3.306     72
        292.06   3.262     65
        290.75   3.247    109
        289.38   3.232     67
    

in CDCl3



CCl4 solution



liquid film





更多供应商