图谱信息 供应商 相关产品
网站主页CAS数据库列表 94-62-2更多图谱胡椒碱(94-62-2)核磁图(1HNMR)

胡椒碱

产品名称 胡椒碱

CAS号94-62-2

分子式C17H19NO3

分子量285.34

展开

400 MHz in CDCl3


  • 1H NMR 399.65 MHz
    C17 H19 N O3 0.034 g : 0.5 ml CDCl3
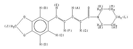
    trans,trans-5-(1,3-benzodioxol-5-yl)-1-piperidino-2,4-pentadien-1-one
    ChemicalStructure
        Assign.     Shift(ppm)
    A 7.404 B 6.979 C 6.887 D 6.778 E 6.75 F 6.737 G 6.444 J 5.971 K 3.58 L 1.66 M 1.58

         Hz     ppm     Int.
    

       2971.68   7.436     43
       2969.48   7.431     41
       2963.75   7.416     41
       2961.43   7.411     48
       2957.03   7.400     47
       2954.35   7.393     39
       2949.46   7.381     42
       2946.78   7.374     48
       2790.16   6.982    186
       2788.57   6.978    203
       2757.81   6.901     94
       2756.10   6.897     87
       2749.76   6.881    130
       2748.05   6.877    124
       2711.91   6.786    258
       2703.86   6.766    190
       2697.63   6.750    380
       2695.31   6.745    144
       2689.94   6.731    138
       2581.79   6.461    191
       2567.14   6.424    137
       2386.47   5.972   1000
       1451.66   3.633     54
       1451.29   3.632     54
       1450.68   3.630     54
       1450.20   3.629     54
       1449.46   3.627     54
       1448.85   3.626     53
       1446.90   3.621     51
       1445.92   3.618     49
       1442.99   3.611     42
       1441.89   3.608     40
       1440.67   3.605     38
       1437.26   3.597     32
       1435.79   3.593     31
       1435.18   3.592     30
       1434.69   3.590     30
       1434.33   3.589     30
       1433.84   3.588     30
       1428.34   3.574     30
       1427.98   3.574     30
       1427.25   3.572     30
       1424.93   3.566     32
       1423.83   3.563     34
       1423.46   3.562     34
       1421.51   3.557     37
       1415.77   3.543     49
       1413.57   3.538     52
       1412.72   3.535     53
       1412.23   3.534     53
       1411.01   3.531     53
       1410.40   3.530     53
       1409.67   3.528     53
       1407.35   3.522     49
        673.10   1.685     42
        671.02   1.680     44
        665.77   1.666     85
        660.77   1.654     91
        657.84   1.647     62
        655.76   1.641     62
        643.43   1.610     83
        638.18   1.597    154
        633.18   1.585    190
        627.81   1.571    105
        622.31   1.558     43
    

CCl4 solution



KBr disc



4880 A,150M,powder